电脑桌面
添加小米粒文库到电脑桌面
安装后可以在桌面快捷访问

(福建专用)高考数学总复习 课时规范练27 数列的概念与表示 文 新人教A-新人教A高三数学试题VIP免费

(福建专用)高考数学总复习 课时规范练27 数列的概念与表示 文 新人教A-新人教A高三数学试题_第1页
1/5
(福建专用)高考数学总复习 课时规范练27 数列的概念与表示 文 新人教A-新人教A高三数学试题_第2页
2/5
(福建专用)高考数学总复习 课时规范练27 数列的概念与表示 文 新人教A-新人教A高三数学试题_第3页
3/5
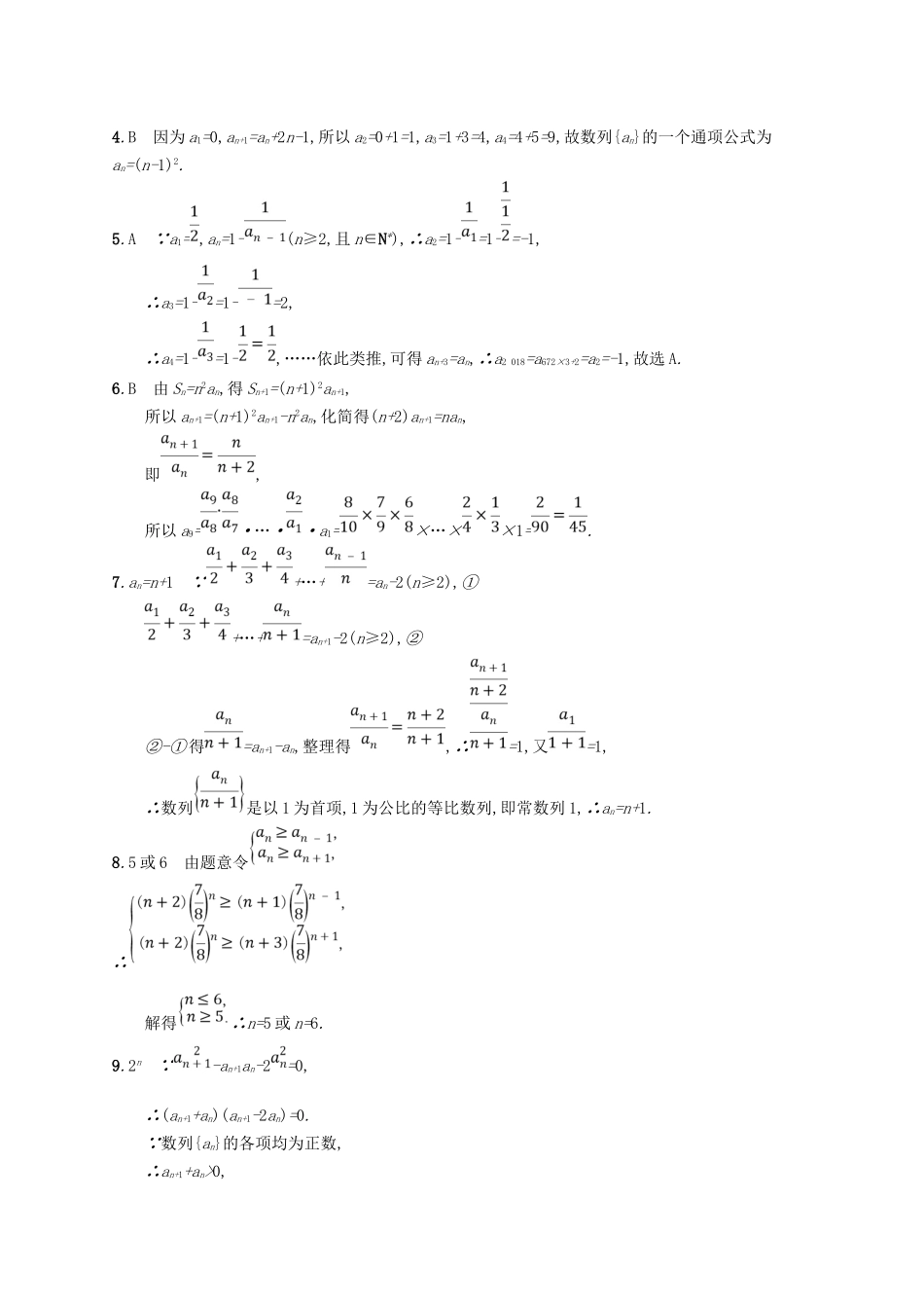
课时规范练27数列的概念与表示基础巩固组1.数列1,,…的一个通项公式an=()A.B.C.D.2.已知数列{an}的前n项和为Sn,且Sn=2(an-1),则a2等于()A.4B.2C.1D.-23.(2017江西上饶模拟)已知数列{an}满足an+1+an=n,若a1=2,则a4-a2=()A.4B.3C.2D.14.已知数列{an}满足a1=0,an+1=an+2n-1,则数列{an}的一个通项公式为()A.an=n-1B.an=(n-1)2C.an=(n-1)3D.an=(n-1)45.(2017吉林市模拟改编)若数列{an}满足a1=,an=1-(n≥2,且n∈N*),则a2018等于()A.-1B.C.1D.2导学号〚24190752〛6.已知数列{an}的首项a1=1,其前n项和Sn=n2an(n∈N*),则a9=()A.B.C.D.7.(2017宁夏银川二模,文16)已知数列{an}满足a1=2,且+…+=an-2(n≥2),则{an}的通项公式为.8.已知数列{an}的通项公式为an=(n+2),则当an取得最大值时,n=.9.已知各项都为正数的数列{an}满足-an+1an-2=0,且a1=2,则an=.10.(2017广东江门一模,文17)已知正项数列{an}的前n项和为Sn,Sn=an(an+1),n∈N*.(1)求数列{an}的通项公式;(2)若bn=,求数列{bn}的前n项和Tn.综合提升组11.(2017河南郑州、平顶山、濮阳二模,文8)已知数列{an}满足an+1=an-an-1(n≥2),a1=m,a2=n,Sn为数列{an}的前n项和,则S2017的值为()A.2017n-mB.n-2017mC.mD.n12.已知函数f(x)是定义在区间(0,+∞)内的单调函数,且对任意的正数x,y都有f(xy)=f(x)+f(y).若数列{an}的前n项和为Sn,且满足f(Sn+2)-f(an)=f(3)(n∈N*),则an等于()A.2n-1B.nC.2n-1D.13.(2017山西晋中二模)我们可以利用数列{an}的递推公式an=(n∈N*),求出这个数列各项的值,使得这个数列中的每一项都是奇数,则a64+a65=.导学号〚24190753〛14.(2017山西吕梁二模)在数列{an}中,已知a2n=a2n-1+(-1)n,a2n+1=a2n+n,a1=1,则a20=.15.已知数列{an}的前n项和为Sn,Sn=2an-n,则an=.创新应用组16.(2017河南洛阳一模,文7)意大利著名数学家斐波那契在研究兔子繁殖问题时,发现有这样一列数:1,1,2,3,5,8,13,….该数列的特点是:前两个数都是1,从第三个数起,每一个数都等于它前面两个数的和,人们把这样的一列数所组成的数列{an}称为“斐波那契数列”,则(a1a3-)(a2a4-)(a3a5-)·…·(a2015a2017-)=()A.1B.-1C.2017D.-201717.已知数列{an}中,a1=-1,an+1=2an+3n-1(n∈N*),求数列{an}的通项公式.答案:1.B由已知得,数列可写成,…,故通项为.2.A由Sn=2(an-1),得a1=2(a1-1),即a1=2,又a1+a2=2(a2-1),所以a2=4.3.D由an+1+an=n,得an+2+an+1=n+1,两式相减得an+2-an=1,令n=2,得a4-a2=1.4.B因为a1=0,an+1=an+2n-1,所以a2=0+1=1,a3=1+3=4,a4=4+5=9,故数列{an}的一个通项公式为an=(n-1)2.5.A∵a1=,an=1-(n≥2,且n∈N*),∴a2=1-=1-=-1,∴a3=1-=1-=2,∴a4=1-=1-,……依此类推,可得an+3=an,∴a2018=a672×3+2=a2=-1,故选A.6.B由Sn=n2an,得Sn+1=(n+1)2an+1,所以an+1=(n+1)2an+1-n2an,化简得(n+2)an+1=nan,即,所以a9=·…··a1=×…××1=.7.an=n+1∵+…+=an-2(n≥2),①+…+=an+1-2(n≥2),②②-①得=an+1-an,整理得,∴=1,又=1,∴数列是以1为首项,1为公比的等比数列,即常数列1,∴an=n+1.8.5或6由题意令∴解得∴n=5或n=6.9.2n∵-an+1an-2=0,∴(an+1+an)(an+1-2an)=0.∵数列{an}的各项均为正数,∴an+1+an>0,∴an+1-2an=0,即an+1=2an(n∈N*),∴数列{an}是以2为公比的等比数列.∵a1=2,∴an=2n.10.解(1)a1=S1=a1(a1+1),a1>0,解得a1=1.∀n∈N*,an+1=Sn+1-Sn=an+1(an+1+1)-an(an+1),移项整理并因式分解得(an+1-an-1)(an+1+an)=0,因为{an}是正项数列,所以an+1+an>0,所以an+1-an-1=0,an+1-an=1.所以{an}是首项a1=1、公差为1的等差数列,所以an=n.(2)由(1)得Sn=an(an+1)=n(n+1),bn=,Tn=b1+b2+…+bn=+…+.11.C∵an+1=an-an-1(n≥2),a1=m,a2=n,∴a3=n-m,a4=-m,a5=-n,a6=m-n,a7=m,a8=n,…,∴an+6=an.则S2017=S336×6+1=336×(a1+a2+…+a6)+a1=336×0+m=m.12.D由题意知f(Sn+2)=f(an)+f(3)=f(3an)(n∈N*),∴Sn+2=3an,Sn-1+2=3an-1(n≥2),两式相减,得2an=3an-1(n≥2),则(n≥2).又n=1时,S1+2=3a1=a1+2,∴a1=1.∴数列{an}是首项为1,公比为的等比数列.∴an=.13.66由题得,这个数列各项的值分别为1,1,3,1,5,3,7,1,9,5,11,3,…∴a64+a65=a32+65=a16+65=a8+65=a4+65=1+65=66.14.46由a2n=a2n-1+(-1)n,得a2n-a2n-1=(-1)n,由a2n+1=a2n+n,得a2n+1-a2n=n,∴a2-a1=-1,a4-a3=1,a6-a5=-1,…,a20-a19=1,10个式子之和为0,a3-a2=1,a5-a4=2,a7-a6=3,…,a19-a18=9,9个式子之和为=45.累加得a20-a1=45.又a1=1,故a20=46,故答案为46.15.2n-1当n≥2时,an=Sn-Sn-1=2an-n-2an-1+(n-1),即an=2an-1+1,∴an+1=2(an-1+1).又a1=S1=2a1-1,∴a1=1.∴数列{an+1}是以首项为a1+1=2,公比为2的等比数列,∴an+1=2·2n-1=2n,∴an=2n-1.16.B∵a1a3-=1×2-12=1,a2a4-=1×3-22=-1,a3a5-=2×5-32=1,…,a2015a2017-=1.∴(a1a3-)(a2a4-)(a3a5-)·…·(a2015a2017-)=11008×(-1)1007=-1.17.解∵an+1=2an+3n-1(n∈N*),①a1=-1,∴a2=0.当n≥2时,an=2an-1+3n-4,②由①-②可得an+1-an=2an-2an-1+3,即an+1-an+3=2(an-an-1+3),∴数列{an-an-1+3}为等比数列,首项为4,公比为2.∴an-an-1+3=4×2n-2,∴an-an-1=2n-3.∴an=(an-an-1)+(an-1-an-2)+…+(a2-a1)+a1=2n-3+2n-1-3+…+22-3-1=-3(n-1)-1=2n+1-3n-2.

1、当您付费下载文档后,您只拥有了使用权限,并不意味着购买了版权,文档只能用于自身使用,不得用于其他商业用途(如 [转卖]进行直接盈利或[编辑后售卖]进行间接盈利)。
2、本站所有内容均由合作方或网友上传,本站不对文档的完整性、权威性及其观点立场正确性做任何保证或承诺!文档内容仅供研究参考,付费前请自行鉴别。
3、如文档内容存在违规,或者侵犯商业秘密、侵犯著作权等,请点击“违规举报”。

碎片内容

(福建专用)高考数学总复习 课时规范练27 数列的概念与表示 文 新人教A-新人教A高三数学试题

文章天下+ 关注
实名认证
内容提供者

各种文档应有尽有

相关文档

确认删除?
VIP
微信客服
  • 扫码咨询
会员Q群
  • 会员专属群点击这里加入QQ群
客服邮箱
回到顶部