电脑桌面
添加小米粒文库到电脑桌面
安装后可以在桌面快捷访问

培英中学2015届高三数学函数导数章节测试参考答案VIP免费

培英中学2015届高三数学函数导数章节测试参考答案_第1页
1/4
培英中学2015届高三数学函数导数章节测试参考答案_第2页
2/4
培英中学2015届高三数学函数导数章节测试参考答案_第3页
3/4
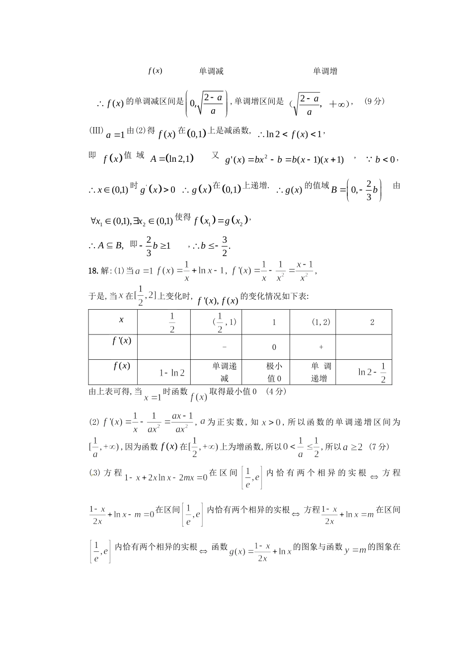
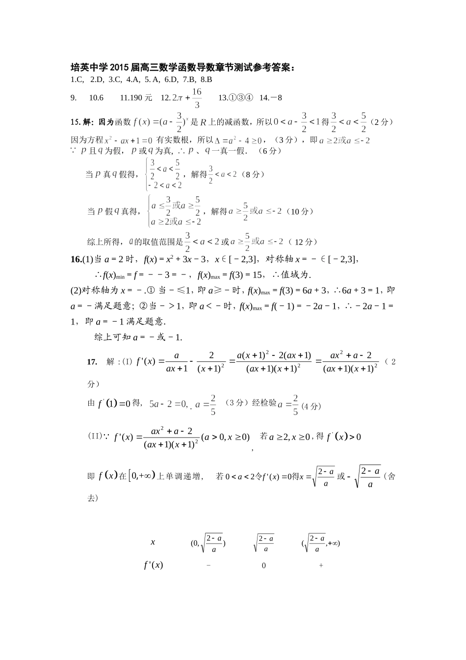
培英中学2015届高三数学函数导数章节测试参考答案:1.C,2.D,3.C,4.A,5.A,6.D,7.B,8.B9.10.611.190元12.13.①③④14.-815.解:因为函数是上的减函数,所以得(2分)因为方程有实数根,所以,(3分),即且为假,或为真,、一真一假.(6分)当真假得,,解得(8分)当假真得,,解得(10分)综上所得,的取值范围是或(12分)16.(1)当a=2时,f(x)=x2+3x-3,x∈[-2,3],对称轴x=-∈[-2,3],∴f(x)min=f=--3=-,f(x)max=f(3)=15,∴值域为.(2)对称轴为x=-.①当-≤1,即a≥-时,f(x)max=f(3)=6a+3,∴6a+3=1,即a=-满足题意;②当->1,即a<-时,f(x)max=f(-1)=-2a-1,∴-2a-1=1,即a=-1满足题意.综上可知a=-或-1.17.解:(I)222)1)(1()1(2)1()1(21)('xaxaxxaxaxaxf22)1)(1(2xaxaax(2分)由'10f得,.(3分)经检验(4分)(II))0,0()1)(1(2)('22xaxaxaaxxf,若2,0ax,得'0fx即fx在0+,上单调递增,若aaxxfa20)('20得令或aa2(舍去)x)2,0(aaaa2),2(aa)('xf-0+)(xf单调减单调增)(xf的单调减区间是20aa,,单调增区间是),+(aa2,(9分)(Ⅲ)1a由(2)得)(xf在0,1上是减函数,1)(2lnxf,即fx值域ln2,1A又)1)(1()('2xxbbbxxg,0b,)1,0(x时'0gxgx在0,1上递增.)(xg的值域20,3Bb由)1,0(),1,0(21xx使得12fxgx,,BA即213b,3.2b18.解:(1)当,,于是,当在上变化时,'(),()fxfx的变化情况如下表:x(,1)1(1,2)2'()fx-0+()fx单调递减极小值0单调递增由上表可得,当时函数取得最小值0(4分)(2),为正实数,知,所以函数的单调递增区间为,因为函数()fx在上为增函数,所以,所以(7分)(3)方程在区间内恰有两个相异的实根方程在区间内恰有两个相异的实根方程在区间内恰有两个相异的实根函数的图象与函数的图象在区间内恰有两个交点考察函数,,在为减函数,在为增函数[来源:Zxxk.Com]画函数,的草图,要使函数的图象与函数的图象在区间内恰有两个交点,则要满足所以的取值范围为19.解:(1)函数的定义域为(0,+∞).f′(x)=2(x-1)+==(x>0),当m>时,f′(x)>0对x∈(0,+∞)恒成立,∴函数f(x)在(0,+∞)上是单调增函数.(3分)(2)由(1)知,当m>时,函数f(x)在(0,+∞)上是单调增函数,没有极值点.当m=时,f′(x)=≥0,函数f(x)在(0,+∞)上是单调增函数,没有极值点.当m<时,令f′(x)=0得,x1=,x2=.①当m≤0时,x1=≤0∉(0,+∞),则x2=≥1∈(0,+∞),列表:x(0,x2)x2(x2,+∞)f′(x)-0+f(x)↘极小值↗由此看出,当m≤0时,f(x)有唯一极小值点x2=.②当00),则h′(x)=1-=.当x>1时,h′(x)>0,h(x)在(1,+∞)上是增函数,∵n≥3,1<1+,∴h1+>h(1),即-ln1+>0,∴n≥3时,ln(n+1)-lnn<.20.解:(Ⅰ)函数的定义域为令,则,即,或因为,所以当,函数为增函数,为减函数,为增函数(4分)(Ⅱ)设,则不等式等价于整理得到令即函数在上为增函数,不等式恒成立,所以,因为,(9分)(Ⅲ)因为,由(Ⅰ)可以知道当时,函数为减函数,而,,那么所以所以由(Ⅱ)知道所以

1、当您付费下载文档后,您只拥有了使用权限,并不意味着购买了版权,文档只能用于自身使用,不得用于其他商业用途(如 [转卖]进行直接盈利或[编辑后售卖]进行间接盈利)。
2、本站所有内容均由合作方或网友上传,本站不对文档的完整性、权威性及其观点立场正确性做任何保证或承诺!文档内容仅供研究参考,付费前请自行鉴别。
3、如文档内容存在违规,或者侵犯商业秘密、侵犯著作权等,请点击“违规举报”。

碎片内容

培英中学2015届高三数学函数导数章节测试参考答案

您可能关注的文档

百万精品文档+ 关注
实名认证
内容提供者

中小学学习资料教案课件

确认删除?
VIP
微信客服
  • 扫码咨询
会员Q群
  • 会员专属群点击这里加入QQ群
客服邮箱
回到顶部