电脑桌面
添加小米粒文库到电脑桌面
安装后可以在桌面快捷访问

《一元一次方程》专练VIP免费

《一元一次方程》专练_第1页
1/2
《一元一次方程》专练_第2页
2/2
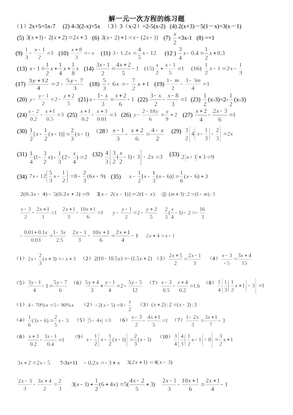
解一元一次方程的练习题(1)2x+5=5x-7(2)4-3(2-x)=5x(3)3(x-2)=2-5(x-2)(4)2(x+3)-5(1-x)=3(x-1)(5)(6)(7)=3x-1(8)=+1(9)(10)(11)(12)(13)(14)(17)(18)(19)(20)(21)(22)(23)(x-3)=2-(x-3)(24)(25)(26)(27)(30)(28)(29)(31)(32)(33)(34)(35)③(1)(2)(3)(4)(5)(6)(7)(8)(1)(2)(3)(4)(5)(6)(7)(8)(9)(10)7-3x=11,()()

1、当您付费下载文档后,您只拥有了使用权限,并不意味着购买了版权,文档只能用于自身使用,不得用于其他商业用途(如 [转卖]进行直接盈利或[编辑后售卖]进行间接盈利)。
2、本站所有内容均由合作方或网友上传,本站不对文档的完整性、权威性及其观点立场正确性做任何保证或承诺!文档内容仅供研究参考,付费前请自行鉴别。
3、如文档内容存在违规,或者侵犯商业秘密、侵犯著作权等,请点击“违规举报”。

碎片内容

《一元一次方程》专练

您可能关注的文档

确认删除?
VIP
微信客服
  • 扫码咨询
会员Q群
  • 会员专属群点击这里加入QQ群
客服邮箱
回到顶部