电脑桌面
添加小米粒文库到电脑桌面
安装后可以在桌面快捷访问

高三数学高考错题精选复习资料:函数、导数VIP免费

高三数学高考错题精选复习资料:函数、导数_第1页
1/6
高三数学高考错题精选复习资料:函数、导数_第2页
2/6
高三数学高考错题精选复习资料:函数、导数_第3页
3/6
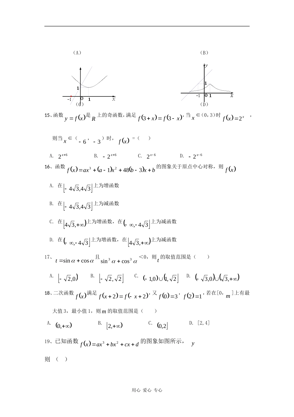
函数、导数一、选择题:1、已知函数xfy,bax,,那么集合2,,,,xyxbaxxfyyx中元素的个数为()A.1B.0C.1或0D.1或22、已知函数xf的定义域为[0,1],值域为[1,2],则函数2xf的定义域和值域分别是()A.[0,1],[1,2]B.[2,3],[3,4]C.[-2,-1],[1,2]D.[-1,2],[3,4]3、已知0<a<1,b<-1,则函数bayx的图象必定不经过()A.第一象限B.第二象限C.第三象限D.第四象限4、将函数xxf2的图象向左平移一个单位得到图象1C,再将1C向上平移一个单位得图象2C,作出2C关于直线xy对称的图象3C,则3C对应的函数的解析式为()A.11log2xyB.11log2xyC.11log2xyD.11log2xy5、已知函数xxfa2log1在其定义域上单调递减,则函数21logxxga的单调减区间是()A.0,B.0,1C.,0D.1,06、函数xxxysincos在下面的哪个区间上是增函数()A.23,2B.2,C.25,23D.3,27、设xxxfsin,1x、2,22x,且1xf>2xf,则下列结论必成立的是()用心爱心专心A.1x>2xB.1x+2x>0C.1x<2xD.21x>22x8、方程2log2xx和2log3xx的根分别是、,则有()A.<B.>C.=D.无法确定与的大小9、若、是关于x的方程053222kkxkx(Rk)的两个实根,则22的最大值等于()A.6B.950C.18D.1910、若axy与xby在,0上都是减函数,对函数bxaxy3的单调性描述正确的是()A.在,上是增函数B.在,0上是增函数C.在,上是减函数D.在0,上是增函数,在,0上是减函数11、已知奇函数xf在0,上单调递减,且02f,则不等式11xfx>0的解集是()A.1,3B.3,11,1C.,30,3D.,21,312、不等式32log2xxa≤1在Rx上恒成立,则实数a的取值范围是()A.,2B.2,1C.1,21D.21,013、方程0122xax至少有一个负的实根的充要条件是()A.00且a≠1)的图象可能是用心爱心专心(A)(B)(C)(D)15、函数xfy是R上的奇函数,满足xfxf33,当x∈(0,3)时xxf2,则当x∈(6,3)时,xf=()A.62xB.62xC.62xD.62x16、函数bxbxaaxxf348123的图象关于原点中心对称,则xfA.在34,34上为增函数B.在34,34上为减函数C.在,34上为增函数,在34,上为减函数D.在34,上为增函数,在,34上为减函数17、cossint且33cossin<0,则t的取值范围是()A.0,2B.2,2C.2,10,1D.,30,318、二次函数xf满足22xfxf,又30f,12f,若在[0,m]上有最大值3,最小值1,则m的取值范围是()A.,0B.,2C.2,0D.[2,4]19、已知函数dcxbxaxxf23的图象如图所示,y则()用心爱心专心A.0,bB.1,0bC.2,1bD.,2b012x20、设12,2bxxyyxM,bxayyxP2,,PMbaS,,则S的面积是()A.1B.C.4D.4二、填空题:21、函数xy1(x>-4)的值域是____________________.22、函数52xxy的值域是________________________.23、函数xxy3的值域是_________________________.24、若实数x满足2coslog2x,则28xx=_____________________.25、设定义在区间222,22aa上的函数xxxf33是奇函数,则实数a的值是_______________________.26、函数12xxf(x<-1)的反函数是_______________________.27、函数2pxpxxf在(1,+)上是增函数,则实数p的取...

1、当您付费下载文档后,您只拥有了使用权限,并不意味着购买了版权,文档只能用于自身使用,不得用于其他商业用途(如 [转卖]进行直接盈利或[编辑后售卖]进行间接盈利)。
2、本站所有内容均由合作方或网友上传,本站不对文档的完整性、权威性及其观点立场正确性做任何保证或承诺!文档内容仅供研究参考,付费前请自行鉴别。
3、如文档内容存在违规,或者侵犯商业秘密、侵犯著作权等,请点击“违规举报”。

碎片内容

高三数学高考错题精选复习资料:函数、导数

您可能关注的文档

确认删除?
VIP
微信客服
  • 扫码咨询
会员Q群
  • 会员专属群点击这里加入QQ群
客服邮箱
回到顶部