电脑桌面
添加小米粒文库到电脑桌面
安装后可以在桌面快捷访问

高三数学数列(二)(理)人教实验版(A)知识精讲VIP免费

高三数学数列(二)(理)人教实验版(A)知识精讲_第1页
1/17
高三数学数列(二)(理)人教实验版(A)知识精讲_第2页
2/17
高三数学数列(二)(理)人教实验版(A)知识精讲_第3页
3/17
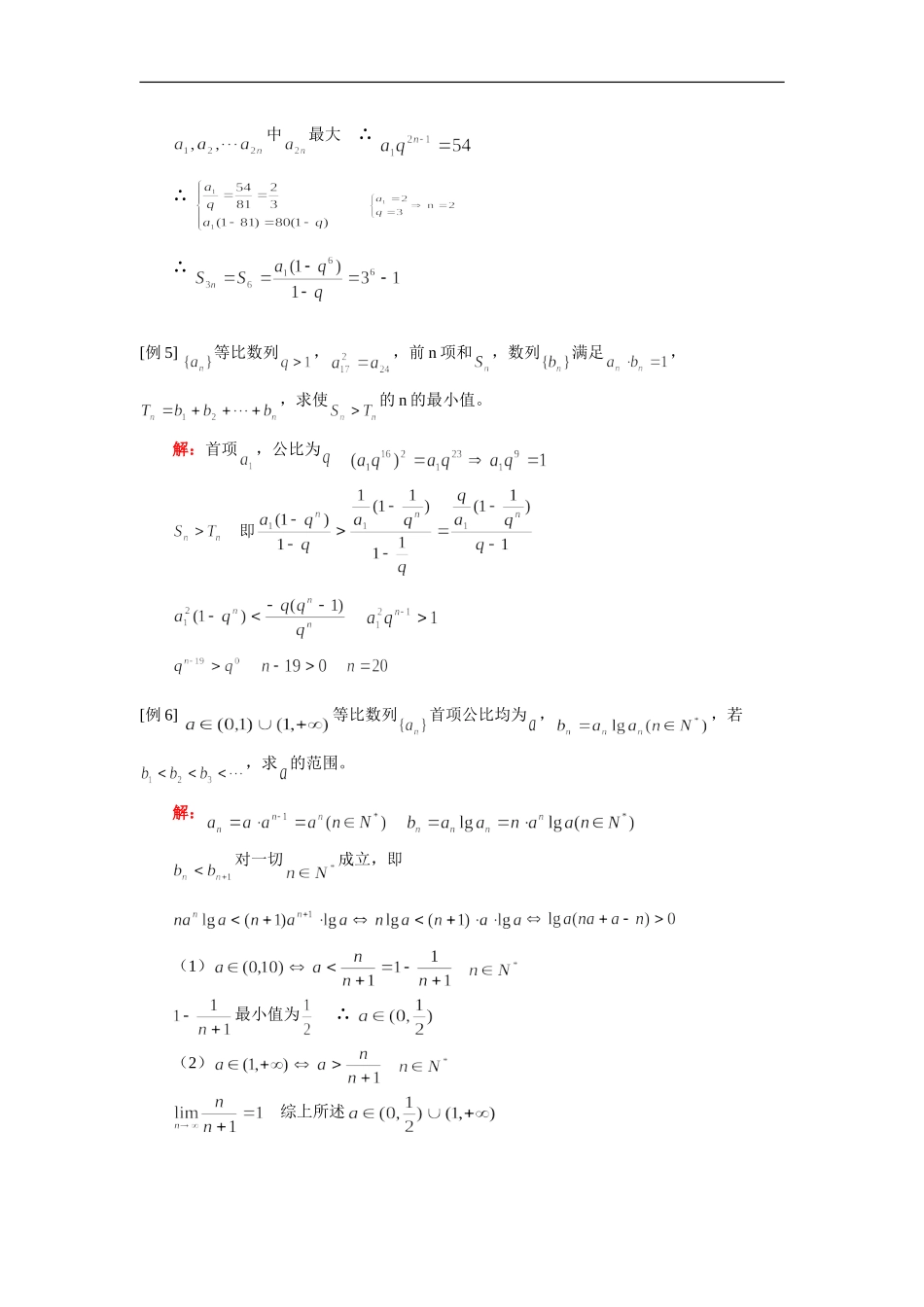
高三数学数列(二)(理)人教实验版(A)【本讲教育信息】一.教学内容:数列(二)二.重点、难点(1)定义:(2)关键量:(3)通项:(4)前n项和:(5)若,则成等比数列成等比数列,成等差数列(6)任意同号实数,有等比中项(7)公式法求和(8)裂项法求和(9)错位相减求和【典型例题】[例1]数列,若数列成等比数列,求。解:,∴∴∴或[例2]等比数列,,,求证解:*,*>0,*>0∴[例3]等差数列,等比数列,,,,求。解:∴ ∴∴∴∴∴或[例4]等比数列,中最大项是54,求解:(1)∴不合题意(2)∴∴中最大∴∴∴[例5]等比数列,,前n项和,数列满足,,求使的n的最小值。解:首项,公比为即[例6]等比数列首项公比均为,,若,求的范围。解:对一切成立,即(1)最小值为∴(2)综上所述[例7]求和(1)(2)(3)(4)(5)(6)解:(1)(2),∴(3)∴(4)(5)(6)∴[例8]在等比数列中,已知,,求前8项的和。分析:利用已知的两个等式条件,可得和q的两个方程,解之可得数列,从而便可求得。解析:解法一:设数列的公比为q,依题意①∴将代入到①式,得,,舍去。将代入到①式得,。当,,,当,,。解法二:因为是等比数列,所以依题设得∴,,因为是实数列,所以故舍去,得,。从而公比q的值为当q=2时,,∴当时,,∴[例9]设为等比数列,,已知,。求:(1)数列的首项和公比;(2)数列的通项公式。解析:(1)设等比数列的公比为q,则, ,∴(2)解法一:由(1)可知∴∴∴解法二:设由(1),知∴∴[例10]记等比数列的前n项和为,已知,,求的通项公式。解析:设的公比为q,由,知,所以得①②由①②式得整理得,解得所以或将代入①式得所以将代入①式得所以[例11]是无穷等比数列的前n项和,且公比,已知1是和的等差中项,6是与的等比中项。求:(1)和;(2)此数列的通项公式;(3)数列的前n项和。解析:(1)根据已知条件整理得解得即(2) ,则可解得∴(3)由(2)得[例12]若是方程的两实根,而且成等比数列。(1)求m的值;(2)数列的通项公式为,且是它的前n项和,求证:。分析:根据方程根与系数的关系求出与m的关系,从而得出m的值;利用裂项法求,利用单调性证明不等式。解析: 为方程的两实根∴∴,且,又成等比数列∴∴∴(2)证明: 又∴,所以要证,只要证即可 ∴,∴故,得证[例13]数列的前n项和记为,已知,,证明:(1)数列是等比数列;(2)。证明:(1) ,∴整理得所以故是以2为公比的等比数列(2)由(1)知于是又故因此对于任意正整数,都有。在等比数列中,前n项和为,若成等差数列,则成等差数列。(1)写出上述命题的逆命题;(2)判断逆命题是否为真,并给出证明。解析:(1)逆命题:在等比数列中,前n项和为,若成等差数列,则成等差数列。(2)设的首项为,公比为q由已知得∴ ∴∴或当时, ∴∴不成等差数列;当时,∴成等差数列。综上得当公比时,逆命题为假;当公比时,逆命题为真。[例14]已知为函数图象上的点,为函数图象上的点,设,其中。(1)求证:数列既不是等差数列也不是等比数列;(2)试比较与的大小。解析:(1)证明:依题意,,,。假设是等差数列,则,即,产生矛盾∴不是等差数列假设是等比数列,则,即,有,产生矛盾∴也不是等比数列(2) ,∴又 ,∴∴∴[例15]设正项等比数列的首项,前n项和为,且。(1)求的通项;(2)求的前n项和。解析:(1)由得即可得 ∴解之得,因而,。(2)因为是首项,公比的等比数列,故则数列的和两式相减即[例16]已知数列满足是首项为1,公比为的等比数列。(1)求的通项公式;(2)若,求数列的前n项和。解析:(1)当时,∴因此(2)∴令①则②由①-②得∴又∴【模拟试题】1.已知数列,满足,那么的值为()A.2002×2001B.C.2003×2002D.2003×20042.设是递增等差数列,前三项的和为12,前三项的积为48,则它的首项是()A.1B.2C.4D.63.正项等比数列满足:,,,则数列的前10项的和是()A.65B.-65C.25D.-254.等比数列的首项,前n项为,已知,则()A.B.C.2D.5.设是一次函数,若,且成等比数列,则等于()A.B.C.D.6.已知等差数列的前n项和为,若,,...

1、当您付费下载文档后,您只拥有了使用权限,并不意味着购买了版权,文档只能用于自身使用,不得用于其他商业用途(如 [转卖]进行直接盈利或[编辑后售卖]进行间接盈利)。
2、本站所有内容均由合作方或网友上传,本站不对文档的完整性、权威性及其观点立场正确性做任何保证或承诺!文档内容仅供研究参考,付费前请自行鉴别。
3、如文档内容存在违规,或者侵犯商业秘密、侵犯著作权等,请点击“违规举报”。

碎片内容

高三数学数列(二)(理)人教实验版(A)知识精讲

您可能关注的文档

慧源书店+ 关注
实名认证
内容提供者

从事历史教学,热爱教育,高度负责。

确认删除?
VIP
微信客服
  • 扫码咨询
会员Q群
  • 会员专属群点击这里加入QQ群
客服邮箱
回到顶部