电脑桌面
添加小米粒文库到电脑桌面
安装后可以在桌面快捷访问

高三数学数列(一)(理)人教实验版(A)知识精讲VIP免费

高三数学数列(一)(理)人教实验版(A)知识精讲_第1页
1/15
高三数学数列(一)(理)人教实验版(A)知识精讲_第2页
2/15
高三数学数列(一)(理)人教实验版(A)知识精讲_第3页
3/15
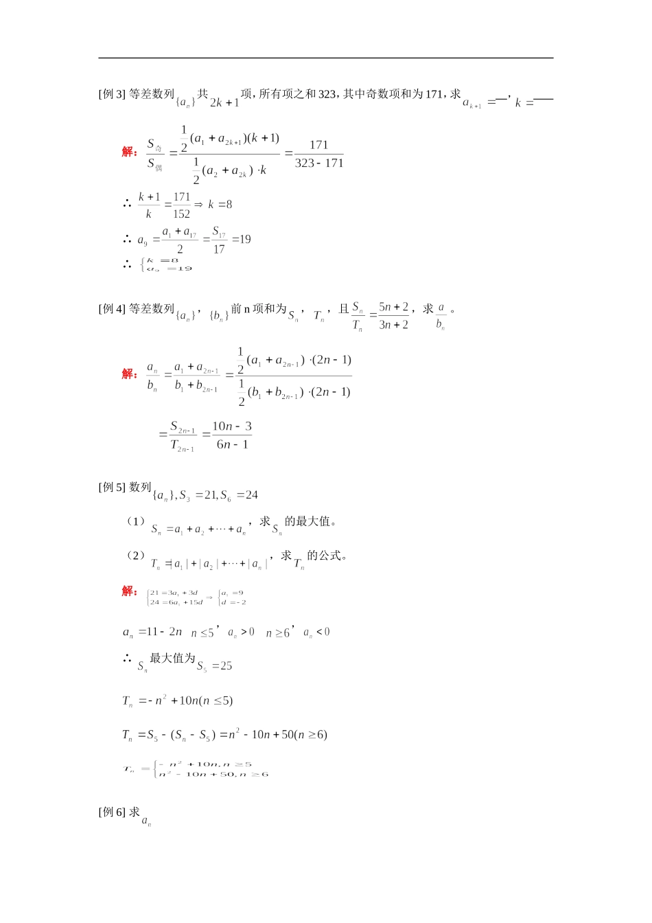
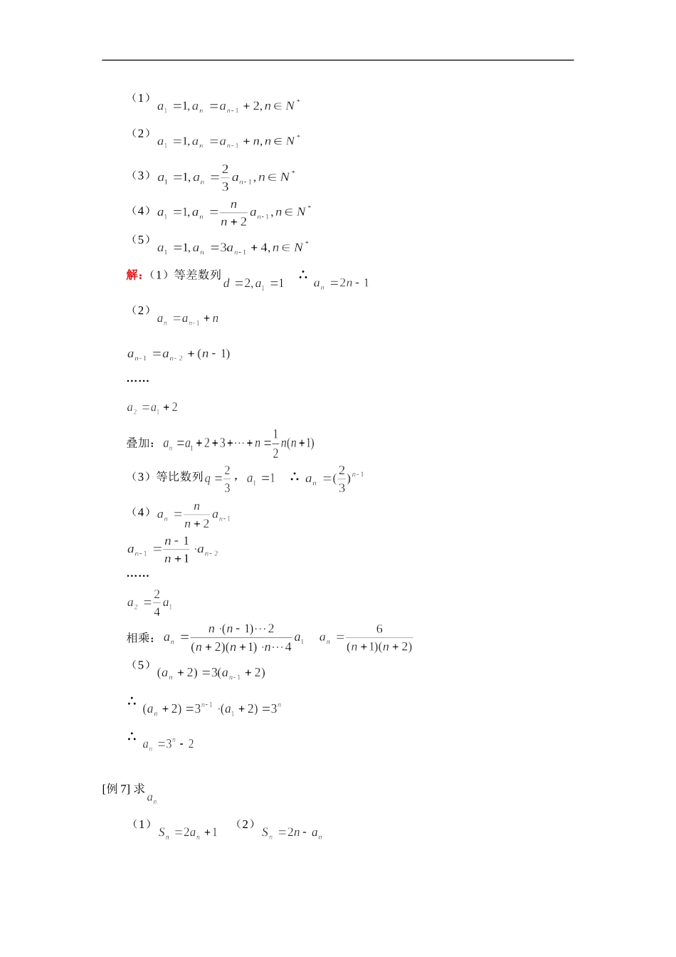
高三数学数列(一)(理)人教实验版(A)【本讲教育信息】一.教学内容:数列(一)二.重点、难点:(1)定义:(2)关键量:(3)通项公式:,(4)前n项和:(5)①若∴②成等差数列③,成等差数列④,成等比数列⑤任意两数有等差中项(6)由递推关系,求(7)由,求【典型例题】[例1]等差数列中,,求。解:或[例2]等差数列中,,则=解:成等差数列,∴[例3]等差数列共项,所有项之和323,其中奇数项和为171,求,解:∴∴∴[例4]等差数列,前n项和为,,且,求。解:[例5]数列(1),求的最大值。(2),求的公式。解:,,∴最大值为[例6]求(1)(2)(3)(4)(5)解:(1)等差数列∴(2)……叠加:(3)等比数列,∴(4)……相乘:(5)∴∴[例7]求(1)(2)(3)(4)解:(1)∴(2)∴∴∴(3)∴……∴(4)∴∴或AP首位∴∴∴[例8]已知数列;(1)求这个数列的第10项;(2)是不是该数列中的项,为什么?(3)求证:数列中的各项都在区间(0,1)内;(4)在区间内有无,数列中的项?若有,有几项?若没有,说明理由。解析:只需设(1)令,得第10项(2)令,得此方程无自然数解,所以不是该数列中的项。(3)证明: 又∴∴(4)令∴∴∴∴当且仅当时,上式成立,故区间内有数列中的项,且只有一项为[例9]已知,并记。(1)证明:;(2)试确定实数m的取值范围,使得对于一切大于1的自然数,恒成立。解析:(1)证明: ∴(2) 恒成立∴又由(1)知为增函数,且∴则问题转化为解关于m的不等式令,则有解得且又 即∴或解得或[例10]等差数列的前n项和记为,已知,。(1)求通项;(2)若,求n。分析:由等差数列的通项公式,列方程组求出和d。解析:(1)由,,,得方程组解得所以(2)由,得方程解得或(舍去)[例11]设为等差数列,为数列的前n项和,已知,,为数列的前n项和,求。解析:设等差数列的公差为d,则 ,∴即解得,∴ ∴是等差数列,首项为,公差为∴[例12]已知公差大于零的等差数列的前n项和为,且满足,(1)求通项;(2)若数列是等差数列,且,求非零常数c;(3)求的最大值。解析:(1) 为等差数列∴又∴是方程的两实根又公差∴∴,∴∴∴(2)由(1)知∴∴,, 是等差数列∴即∴∴(c=0舍去)故(3)由(2)得∴当且仅当,即时取等号∴即的最大值为[例13]设是等差数列的前n项的和,已知与的等比中项为,与的等差中项为1,求等差数列的通项。解析:设等差数列的首项为,公差为d,则,前n项和,依题意得∴解之得或∴或∴所求通项公式为或[例14]已知数列是等差数列,其前n项和为,,。(1)求数列的通项公式;(2)设是正整数,且。证明:。解析:(1)设等差数列的公差是d,依题意得,解得,∴数列的通项公式为(2)证明: ∴ 又∴∴[例15]设无穷等差数列的前n项和为。(1)若首项,公差,求满足的正整数k;(2)求所有的无穷等差数列,使得对于一切正整数k都有成立解析:(1)当时由,得即又,所以(2)设数列的公差为d,则在中分别取,得即由(1)得或当时,代入(2)得或若,则,从而成立;若,则,由,,知,故所得数列不符合题意。当时,代入(2)得,解得或若,则,从而成立;若,则,从而成立综上,共有3个满足条件的无穷等差数列:①:,即0,0,0,……;②:,即1,1,1,……;③:,即1,3,5,……。[例16]已知正项数列,其前n项和满足,且成等比数列,求数列的通项。解析: ①∴解之得或又②由①-②得即 ∴当时,,则不成等比数列∴当时,,,有∴∴【模拟试题】1.等差数列中,首项,公差,如果,则序号n等于()A.400B.401C.402D.4032.等差数列的公差为d,前n项和为,当首项与d变化时,是一个定值,则下列各数中也为定值的是()A.B.C.D.3.是各项均为正数的等比数列,是等差数列,且,则有()A.B.C.D.4.已知数列的通项公式是,其前n项和,则项数n等于()A.3B.4C.5D.65.如果数列的前n项和,那么这个数列()A.是等差数列但不是等比数列B.是等比数列但不是等差数列C.既是等差数列又是等比数列D.既不是等差数列又不是等比数列6.某林厂年初有森林木材存量,木材以每年25%的增长率生长,而每年末要砍伐固定的木材量x,...

1、当您付费下载文档后,您只拥有了使用权限,并不意味着购买了版权,文档只能用于自身使用,不得用于其他商业用途(如 [转卖]进行直接盈利或[编辑后售卖]进行间接盈利)。
2、本站所有内容均由合作方或网友上传,本站不对文档的完整性、权威性及其观点立场正确性做任何保证或承诺!文档内容仅供研究参考,付费前请自行鉴别。
3、如文档内容存在违规,或者侵犯商业秘密、侵犯著作权等,请点击“违规举报”。

碎片内容

高三数学数列(一)(理)人教实验版(A)知识精讲

您可能关注的文档

慧源书店+ 关注
实名认证
内容提供者

从事历史教学,热爱教育,高度负责。

确认删除?
VIP
微信客服
  • 扫码咨询
会员Q群
  • 会员专属群点击这里加入QQ群
客服邮箱
回到顶部