电脑桌面
添加小米粒文库到电脑桌面
安装后可以在桌面快捷访问

高三数学数列的求和苏教版 知识精讲VIP免费

高三数学数列的求和苏教版 知识精讲_第1页
1/10
高三数学数列的求和苏教版 知识精讲_第2页
2/10
高三数学数列的求和苏教版 知识精讲_第3页
3/10
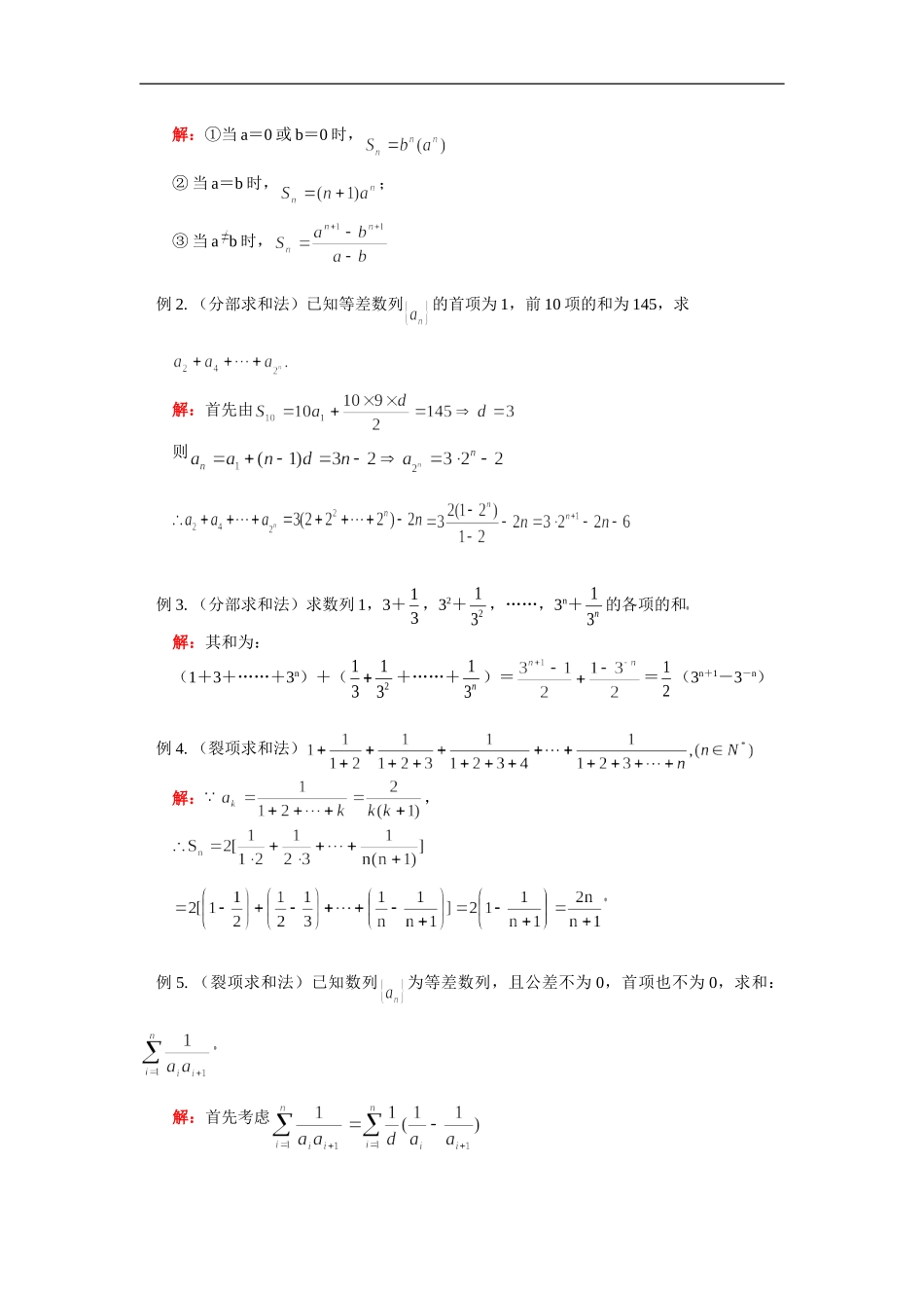
高三数学数列的求和苏教版【本讲教育信息】一.教学内容:数列的求和二.本周教学目标:等差数列与等比数列的有限项求和总是有公式可求的,其它的数列的求和不总是可求的,但某些特殊数列的求和可采用分部求和法转化为等差数列或等比数列的和或用裂项求和法、错位相减法、逆序相加法、组合化归法,递推法新疆源头学子小屋特级教师王新敞http://www.xjktyg.com/wxc/wxckt@126.comwxckt@126.comhttp://www.xjktyg.com/wxc/王新敞特级教师源头学子小屋新疆三.本周知识要点:1.等差数列的前n项和公式:Sn=Sn=Sn=当d≠0时,Sn是关于n的二次式且常数项为0;当d=0时(a1≠0),Sn=na1是关于n的正比例式新疆源头学子小屋特级教师王新敞http://www.xjktyg.com/wxc/wxckt@126.comwxckt@126.comhttp://www.xjktyg.com/wxc/王新敞特级教师源头学子小屋新疆2.等比数列的前n项和公式:当q=1时,Sn=na1(是关于n的正比例式);当q≠1时,Sn=Sn=3.拆项法求数列的和,如an=2n+3n4新疆源头学子小屋特级教师王新敞http://www.xjktyg.com/wxc/wxckt@126.comwxckt@126.comhttp://www.xjktyg.com/wxc/王新敞特级教师源头学子小屋新疆错位相减法求和,如an=(2n-1)2n(非常数列的等差数列与等比数列的积的形式)5.分裂项法求和,如an=(分子为非零常数,分母为非常数列的等差数列的两项积的形式)6.逆序相加法求和,如an=7.求数列{an}的最大、最小项的方法:①an+1-an=……如an=-2n2+29n-3②(an>0)如an=③an=f(n)研究函数f(n)的增减性如an=新疆源头学子小屋特级教师王新敞http://www.xjktyg.com/wxc/wxckt@126.comwxckt@126.comhttp://www.xjktyg.com/wxc/王新敞特级教师源头学子小屋新疆【典型例题】例1.(分情况讨论)求和:解:①当a=0或b=0时,②当a=b时,;③当ab时,例2.(分部求和法)已知等差数列的首项为1,前10项的和为145,求解:首先由则例3.(分部求和法)求数列1,3+13,32+132,……,3n+13n的各项的和新疆源头学子小屋特级教师王新敞http://www.xjktyg.com/wxc/wxckt@126.comwxckt@126.comhttp://www.xjktyg.com/wxc/王新敞特级教师源头学子小屋新疆解:其和为:(1+3+……+3n)+(13132+……+13n)==12(3n+1-3-n)例4.(裂项求和法)解:,新疆源头学子小屋特级教师王新敞http://www.xjktyg.com/wxc/wxckt@126.comwxckt@126.comhttp://www.xjktyg.com/wxc/王新敞特级教师源头学子小屋新疆例5.(裂项求和法)已知数列为等差数列,且公差不为0,首项也不为0,求和:新疆源头学子小屋特级教师王新敞http://www.xjktyg.com/wxc/wxckt@126.comwxckt@126.comhttp://www.xjktyg.com/wxc/王新敞特级教师源头学子小屋新疆解:首先考虑则=点评:已知数列为等差数列,且公差不为0,首项也不为0,下列求和也可用裂项求和法新疆源头学子小屋特级教师王新敞http://www.xjktyg.com/wxc/wxckt@126.comwxckt@126.comhttp://www.xjktyg.com/wxc/王新敞特级教师源头学子小屋新疆例6.(错位相减法)设a为常数,求数列a,2a2,3a3,…,nan,…的前n项和新疆源头学子小屋特级教师王新敞http://www.xjktyg.com/wxc/wxckt@126.comwxckt@126.comhttp://www.xjktyg.com/wxc/王新敞特级教师源头学子小屋新疆解:①若a=0,则Sn=0②若a=1,则Sn=1+2+3+…+n=③若a≠1,a≠0,则Sn-aSn=a(1+a+…+an-1-nan),Sn=例7.(错位相减法)已知,数列是首项为a,公比也为a的等比数列,令,求数列的前项和新疆源头学子小屋特级教师王新敞http://www.xjktyg.com/wxc/wxckt@126.comwxckt@126.comhttp://www.xjktyg.com/wxc/王新敞特级教师源头学子小屋新疆解:①-②得:新疆源头学子小屋特级教师王新敞http://www.xjktyg.com/wxc/wxckt@126.comwxckt@126.comhttp://www.xjktyg.com/wxc/王新敞特级教师源头学子小屋新疆点评:设数列为等比数列,数列是等差数列,则数列的前项和求解,均可用错位相减法新疆源头学子小屋特级教师王新敞http://www.xjktyg.com/wxc/wxckt@126.comwxckt@126.comhttp://www.xjktyg.com/wxc/王新敞特级教师源头学子小屋新疆例8.(组...

1、当您付费下载文档后,您只拥有了使用权限,并不意味着购买了版权,文档只能用于自身使用,不得用于其他商业用途(如 [转卖]进行直接盈利或[编辑后售卖]进行间接盈利)。
2、本站所有内容均由合作方或网友上传,本站不对文档的完整性、权威性及其观点立场正确性做任何保证或承诺!文档内容仅供研究参考,付费前请自行鉴别。
3、如文档内容存在违规,或者侵犯商业秘密、侵犯著作权等,请点击“违规举报”。

碎片内容

高三数学数列的求和苏教版 知识精讲

您可能关注的文档

慧源书店+ 关注
实名认证
内容提供者

从事历史教学,热爱教育,高度负责。

确认删除?
VIP
微信客服
  • 扫码咨询
会员Q群
  • 会员专属群点击这里加入QQ群
客服邮箱
回到顶部