电脑桌面
添加小米粒文库到电脑桌面
安装后可以在桌面快捷访问

高三数学中档题1VIP免费

高三数学中档题1_第1页
1/3
高三数学中档题1_第2页
2/3
高三数学中档题1_第3页
3/3
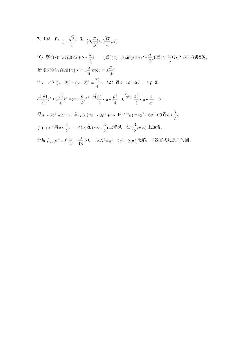
高三数学中档题11.甲、乙两名射击运动员参加某大型运动会的预选赛,他们分别射击了5次,成绩如下表(单位:环)学科网甲108999乙1010799如果甲、乙两人中只有1人入选,则入选的最佳人选应是2.已知定义在上的偶函数满足对于恒成立,且,则______;3.已知=(1,0),=(0,1),求使向量+k与向量+2k的夹角为锐角的k的取值范围。4.直线的倾斜角的取值范围是5.在△ABC中,cos(B+C)+cos(+A)的取值范围是.6.一椭圆的四个顶点为A1,A2,B1,B2,以椭圆的中心为圆心的圆过椭圆的焦点且与菱形相切,则椭圆的离心率为7.设数列满足,若,则lg8.如图所示,四个相同的直角三角形与中间的小正方形拼成的一个边长为2的大正方形,若直角三角形中较小的锐角,现在向该正方形区域内随机地投掷一枚飞镖,求飞镖落在小正方形内概率_______________________.9.已知:A,B,直线:kx-y+2k=0与线段AB有一个公共点,则倾斜角的范围是,10.已知.(Ⅰ)化简f(x)的解析式;(Ⅱ)若0≤θ≤π,求θ,使函数f(x)为偶函数;(Ⅲ)在(Ⅱ)成立的条件下,求满足的x的集合.11.如图,在五面体ABCDEF中,点O是矩形ABCD的对角线的交点,面CDE是等边三角形,ABCDFEO棱EF∥BC且EF=BC.(I)证明FO//平面CDE;(II)设BC=CD,证明:平面EOF⊥平面CDF.12.已知圆C过点F,且与直线:相切,其中,点F关于直线:的对称点F/也在圆C上;(1)若=1,求圆C的方程;(2)是否存在这样的圆C,使其截直线:所得的弦长为,若有,求出圆的方程;若没有,说明理由。中档题1答案1、甲,2、1,3.k>0,且k,4、,5、[-2,,6、,7、1028、;9、10、解:f(x)=;当时,f(x)为偶函数,11、(1),(2)设C(,2),=2;,得得:得,记=,由得,得,∴在上递减,在上递增,于是,故方程无解,即没有满足条件的圆。

1、当您付费下载文档后,您只拥有了使用权限,并不意味着购买了版权,文档只能用于自身使用,不得用于其他商业用途(如 [转卖]进行直接盈利或[编辑后售卖]进行间接盈利)。
2、本站所有内容均由合作方或网友上传,本站不对文档的完整性、权威性及其观点立场正确性做任何保证或承诺!文档内容仅供研究参考,付费前请自行鉴别。
3、如文档内容存在违规,或者侵犯商业秘密、侵犯著作权等,请点击“违规举报”。

碎片内容

高三数学中档题1

您可能关注的文档

慧源书店+ 关注
实名认证
内容提供者

从事历史教学,热爱教育,高度负责。

相关文档

确认删除?
VIP
微信客服
  • 扫码咨询
会员Q群
  • 会员专属群点击这里加入QQ群
客服邮箱
回到顶部