电脑桌面
添加小米粒文库到电脑桌面
安装后可以在桌面快捷访问

备战(浙江版)高考数学分项汇编 专题5 平面向量(含解析)理-浙江版高三全册数学试题VIP免费

备战(浙江版)高考数学分项汇编 专题5 平面向量(含解析)理-浙江版高三全册数学试题_第1页
1/5
备战(浙江版)高考数学分项汇编 专题5 平面向量(含解析)理-浙江版高三全册数学试题_第2页
2/5
备战(浙江版)高考数学分项汇编 专题5 平面向量(含解析)理-浙江版高三全册数学试题_第3页
3/5
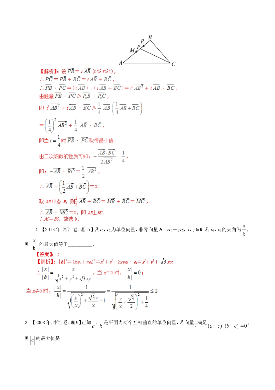
第五章平面向量一.基础题组1.【2012年.浙江卷.理5】设a,b是两个非零向量,()A.若|a+b|=|a|-|b|,则a⊥bB.若a⊥b,则|a+b|=|a|-|b|C.若|a+b|=|a|-|b|,则存在实数λ,使得b=λaD.若存在实数λ,使得b=λa,则|a+b|=|a|-|b|【答案】C2.【2012年.浙江卷.理15】在△ABC中,M是BC的中点,AM=3,BC=10,则__________.【答案】-16【解析】·=(+)·(+)=+·+·+·=||2+(+)·+||||cosπ=9-25=-16.3.【2011年.浙江卷.理14】若平面向量,满足,,且以向量,为邻边的平行四边形的面积为,则与的夹角的取值范围是。【答案】【解析】:,又4.【2010年.浙江卷.理16】已知平面向量满足,且与的夹角为120°,则的取值范围是__________________.【答案】5.【2009年.浙江卷.理7】设向量,满足:,,.以,,的模为边长构成三角形,则它的边与半径为的圆的公共点个数最多为()A.B.C.D.【答案】:C6.【2007年.浙江卷.理7】若非零向量、满足,则(A)(B)(C)(D)【答案】C7.【2006年.浙江卷.理13】设向量满足,若,则的值是【答案】4【解析】二.能力题组1.【2013年.浙江卷.理7】设△ABC,P0是边AB上一定点,满足P0B=AB,且对于边AB上任一点P,恒有·≥·,则().A.∠ABC=90°B.∠BAC=90°C.AB=ACD.AC=BC【答案】:D2.【2013年.浙江卷.理17】设e1,e2为单位向量,非零向量b=xe1+ye2,x,y∈R.若e1,e2的夹角为,则的最大值等于__________.【答案】:23.【2008年.浙江卷.理9】已知,是平面内两个互相垂直的单位向量,若向量满足,则的最大值是(A)1(B)2(C)(D)【答案】C4.【2005年.浙江卷.理10】已知向量≠,||=1,对任意t∈R,恒有|-t|≥|-|,则(A)⊥(B)⊥(-)(C)⊥(-)(D)(+)⊥(-)【答案】C三.拔高题组1.【2014年.浙江卷.理8】记,,设为平面向量,则()A.B.C.D.【答案】:D【解析】:根据向量运算的几何意义,即三角形法则,可知与的大小不确定,由平行四边形法则及余弦定理可知,所对的角大于或等于,故,故选D考点:向量运算的几何意义.2.【2015高考浙江,理15】已知是空间单位向量,,若空间向量满足,且对于任意,,则,,.【答案】,,.3.

1、当您付费下载文档后,您只拥有了使用权限,并不意味着购买了版权,文档只能用于自身使用,不得用于其他商业用途(如 [转卖]进行直接盈利或[编辑后售卖]进行间接盈利)。
2、本站所有内容均由合作方或网友上传,本站不对文档的完整性、权威性及其观点立场正确性做任何保证或承诺!文档内容仅供研究参考,付费前请自行鉴别。
3、如文档内容存在违规,或者侵犯商业秘密、侵犯著作权等,请点击“违规举报”。

碎片内容

备战(浙江版)高考数学分项汇编 专题5 平面向量(含解析)理-浙江版高三全册数学试题

您可能关注的文档

慧源书店+ 关注
实名认证
内容提供者

从事历史教学,热爱教育,高度负责。

相关文档

确认删除?
VIP
微信客服
  • 扫码咨询
会员Q群
  • 会员专属群点击这里加入QQ群
客服邮箱
回到顶部