电脑桌面
添加小米粒文库到电脑桌面
安装后可以在桌面快捷访问

备战高考数学一轮复习 圆锥曲线试题精选19-人教版高三全册数学试题VIP免费

备战高考数学一轮复习 圆锥曲线试题精选19-人教版高三全册数学试题_第1页
1/7
备战高考数学一轮复习 圆锥曲线试题精选19-人教版高三全册数学试题_第2页
2/7
备战高考数学一轮复习 圆锥曲线试题精选19-人教版高三全册数学试题_第3页
3/7
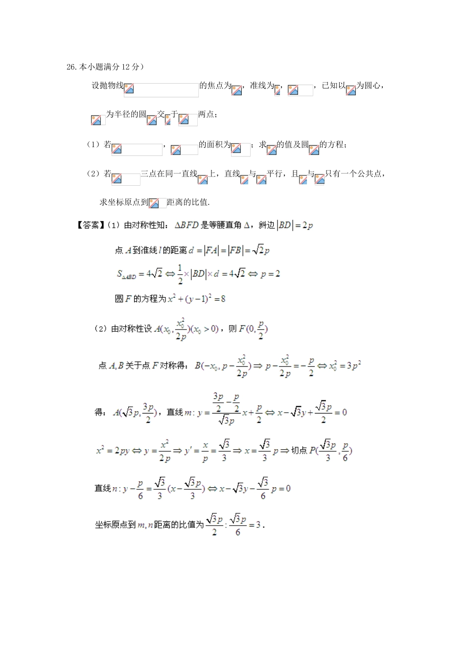
圆锥曲线1925.(本小题满分12分)如图,动点到两定点、构成,且,设动点的轨迹为。(Ⅰ)求轨迹的方程;(Ⅱ)设直线与轴交于点,与轨迹相交于点,且,求的取值范围。yxBAOM【答案】本题主要考查轨迹方程的求法,圆锥曲线的定义等基础知识,考查基本运算能力,逻辑推理能力,考查方程与函数、数形结合、分类讨论、化归与转化等数学思想26.本小题满分12分)设抛物线的焦点为,准线为,,已知以为圆心,为半径的圆交于两点;(1)若,的面积为;求的值及圆的方程;(2)若三点在同一直线上,直线与平行,且与只有一个公共点,求坐标原点到距离的比值.27.(本小题满分14分)设椭圆的左、右顶点分别为A,B,点P在椭圆上且异于A,B两点,O为坐标原点.(Ⅰ)若直线AP与BP的斜率之积为,求椭圆的离心率;(Ⅱ)若|AP|=|OA|,证明直线OP的斜率k满足【答案】

1、当您付费下载文档后,您只拥有了使用权限,并不意味着购买了版权,文档只能用于自身使用,不得用于其他商业用途(如 [转卖]进行直接盈利或[编辑后售卖]进行间接盈利)。
2、本站所有内容均由合作方或网友上传,本站不对文档的完整性、权威性及其观点立场正确性做任何保证或承诺!文档内容仅供研究参考,付费前请自行鉴别。
3、如文档内容存在违规,或者侵犯商业秘密、侵犯著作权等,请点击“违规举报”。

碎片内容

备战高考数学一轮复习 圆锥曲线试题精选19-人教版高三全册数学试题

您可能关注的文档

慧源书店+ 关注
实名认证
内容提供者

从事历史教学,热爱教育,高度负责。

相关文档

确认删除?
VIP
微信客服
  • 扫码咨询
会员Q群
  • 会员专属群点击这里加入QQ群
客服邮箱
回到顶部