电脑桌面
添加小米粒文库到电脑桌面
安装后可以在桌面快捷访问

高中数学 2.1.1.2指数幂及运算当堂演练 新人教版必修1-新人教版高一必修1数学试题VIP免费

高中数学 2.1.1.2指数幂及运算当堂演练 新人教版必修1-新人教版高一必修1数学试题_第1页
1/2
高中数学 2.1.1.2指数幂及运算当堂演练 新人教版必修1-新人教版高一必修1数学试题_第2页
2/2
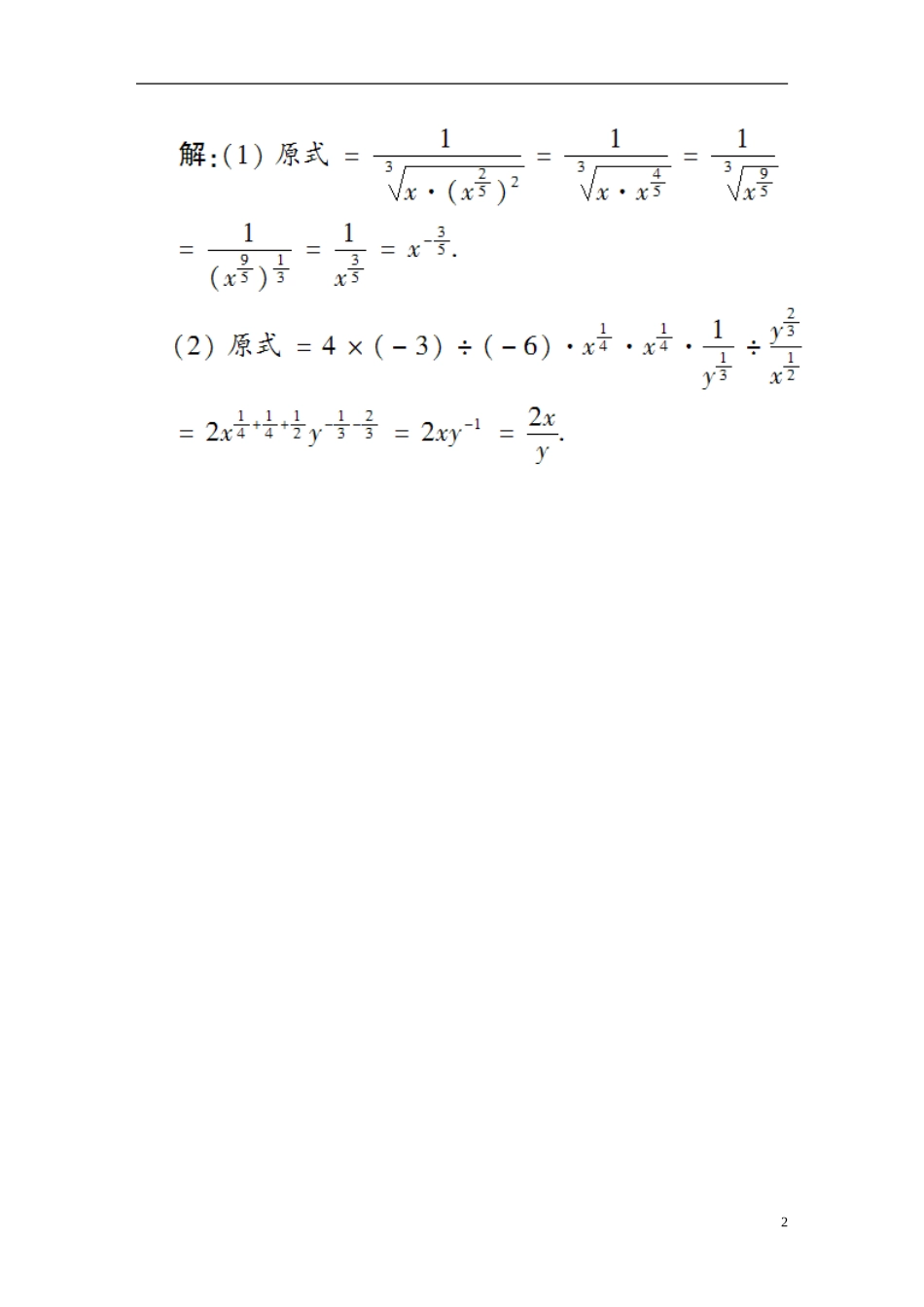
【红对勾】2015-2016学年高中数学2.1.1.2指数幂及运算当堂演练新人教版必修11.下列运算正确的是()A.a·a2=a2B.(ab)3=ab3C.(a2)3=a6D.a10÷a2=a5答案:C2.下列运算结果中正确的为()A.a2·a3=a6B.(-a2)3=(-a3)2C.(-1)0=1D.(-a2)3=-a6解析:a2·a3=a5;(-a2)3=(-1)3·(a2)3=-a6,而(-a3)2=a6,∴在a≠0时(-a2)3≠(-a3)2;若a=1,则(-1)0无意义,所以只有D正确.答案:D答案:C4.(a>0)=________.解析:答案:5.化简下列各式:(1);(2)4·(-3)·÷.12

1、当您付费下载文档后,您只拥有了使用权限,并不意味着购买了版权,文档只能用于自身使用,不得用于其他商业用途(如 [转卖]进行直接盈利或[编辑后售卖]进行间接盈利)。
2、本站所有内容均由合作方或网友上传,本站不对文档的完整性、权威性及其观点立场正确性做任何保证或承诺!文档内容仅供研究参考,付费前请自行鉴别。
3、如文档内容存在违规,或者侵犯商业秘密、侵犯著作权等,请点击“违规举报”。

碎片内容

高中数学 2.1.1.2指数幂及运算当堂演练 新人教版必修1-新人教版高一必修1数学试题

您可能关注的文档

确认删除?
VIP
微信客服
  • 扫码咨询
会员Q群
  • 会员专属群点击这里加入QQ群
客服邮箱
回到顶部