电脑桌面
添加小米粒文库到电脑桌面
安装后可以在桌面快捷访问

高一数学对数人教版知识精讲VIP免费

高一数学对数人教版知识精讲_第1页
1/5
高一数学对数人教版知识精讲_第2页
2/5
高一数学对数人教版知识精讲_第3页
3/5
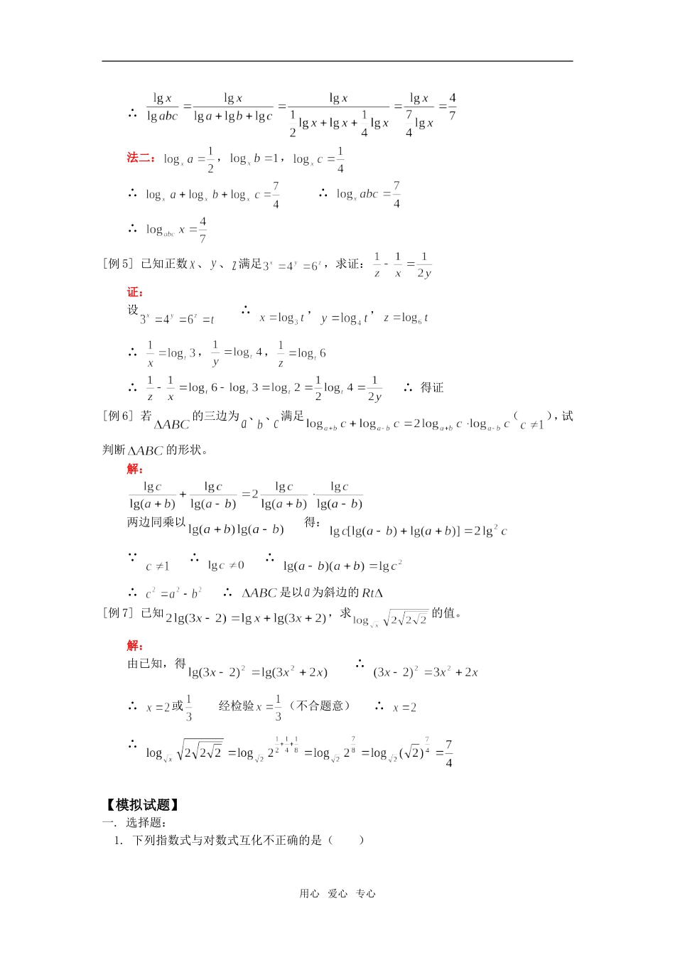
高一数学对数人教版【本讲教育信息】一.教学内容:对数二.本周重、难点:1.重点:对数的定义、对数的运算性质。2.难点:对数的概念。【典型例题】[例1]把下列指数式写成对数式。(1)(2)(3)(4)解:(1)(2)(3)(4)[例2]求下列各式中的(1)(2)(3)(4)(5)解:(1)由得∴(2)由得∴(3)由得即∴(4)未知数的取值范围是∴∴∴(5)2令用心爱心专心则∴或若,则,∴若,则,∴(舍去)[例3]计算(1)(2)(3)(4)解:(1)原式(2)原式(3)原式(4)原式[例4]已知:,,,求的值。解:法一:,,用心爱心专心∴法二:,,∴∴∴[例5]已知正数、、满足,求证:证:设∴,,∴,,∴∴得证[例6]若的三边为、、满足(),试判断的形状。解:两边同乘以得:∵∴∴∴∴是以为斜边的[例7]已知,求的值。解:由已知,得∴∴或经检验(不合题意)∴∴【模拟试题】一.选择题:1.下列指数式与对数式互化不正确的是()用心爱心专心A.与B.与C.与D.与2.若,则的取值范围是()A.B.C.D.且3.等于()A.B.C.D.4.已知,,则等于()A.B.C.D.二.填空题:1.若,则2.3.对数式的值是4.若,则等于三.解答题:1.求值:2.已知:求值:3.设正数、、满足,求证:用心爱心专心试题答案一.1.C2.D3.B4.C二.1.2.43.4.三.1.原式2.令,则∴同理:,∴3.证:∵,,,∴左边=右边∴原式成立用心爱心专心

1、当您付费下载文档后,您只拥有了使用权限,并不意味着购买了版权,文档只能用于自身使用,不得用于其他商业用途(如 [转卖]进行直接盈利或[编辑后售卖]进行间接盈利)。
2、本站所有内容均由合作方或网友上传,本站不对文档的完整性、权威性及其观点立场正确性做任何保证或承诺!文档内容仅供研究参考,付费前请自行鉴别。
3、如文档内容存在违规,或者侵犯商业秘密、侵犯著作权等,请点击“违规举报”。

碎片内容

高一数学对数人教版知识精讲

您可能关注的文档

海博书城+ 关注
实名认证
内容提供者

从事历史教学,热爱教育,高度负责。

确认删除?
VIP
微信客服
  • 扫码咨询
会员Q群
  • 会员专属群点击这里加入QQ群
客服邮箱
回到顶部