电脑桌面
添加小米粒文库到电脑桌面
安装后可以在桌面快捷访问

高一数学两角和与差的正弦、余弦、正切人教实验A版知识精讲VIP免费

高一数学两角和与差的正弦、余弦、正切人教实验A版知识精讲_第1页
1/5
高一数学两角和与差的正弦、余弦、正切人教实验A版知识精讲_第2页
2/5
高一数学两角和与差的正弦、余弦、正切人教实验A版知识精讲_第3页
3/5
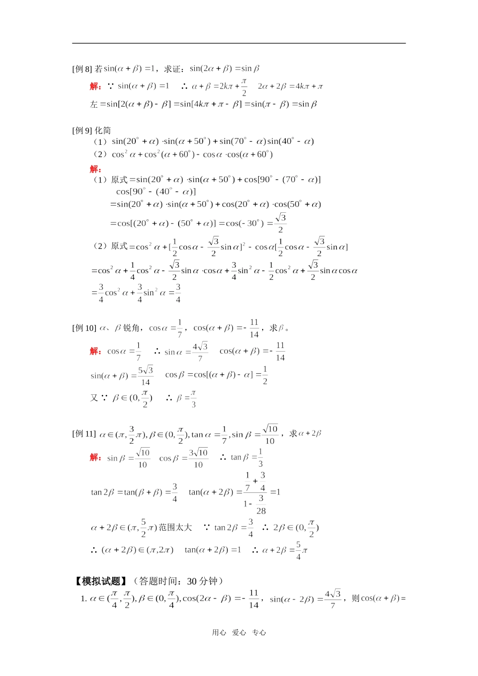
高一数学两角和与差的正弦、余弦、正切人教实验A版【本讲教育信息】一.教学内容:两角和与差的正弦、余弦、正切二.重点、难点:1.2.3.4.5.6.7.8.9.10.11.【典型例题】[例1],且锐角,求解:∴∴∴[例2]已知且,,求,解:∵∴∵∴∴∴用心爱心专心[例3],,求解:∴∴[例4],(),求证:证:左∵∴[例5]求值:析:∴…∴原式[例6]已知,,求解:∴∴[例7],,求解:∴用心爱心专心[例8]若,求证:解:∵∴左[例9]化简(1)(2)解:(1)原式(2)原式[例10]锐角,,,求。解:∴又∵∴[例11],求解:∴范围太大∵∴∴∴【模拟试题】(答题时间:30分钟)1.,,则=用心爱心专心2.,则3.已知,求证4.,,,求5.求证:(1)(2)用心爱心专心试题答案1.析:2.析:由已知∴∴原式3.略4.析:∴5.略用心爱心专心

1、当您付费下载文档后,您只拥有了使用权限,并不意味着购买了版权,文档只能用于自身使用,不得用于其他商业用途(如 [转卖]进行直接盈利或[编辑后售卖]进行间接盈利)。
2、本站所有内容均由合作方或网友上传,本站不对文档的完整性、权威性及其观点立场正确性做任何保证或承诺!文档内容仅供研究参考,付费前请自行鉴别。
3、如文档内容存在违规,或者侵犯商业秘密、侵犯著作权等,请点击“违规举报”。

碎片内容

高一数学两角和与差的正弦、余弦、正切人教实验A版知识精讲

您可能关注的文档

海博书城+ 关注
实名认证
内容提供者

从事历史教学,热爱教育,高度负责。

相关文档

确认删除?
VIP
微信客服
  • 扫码咨询
会员Q群
  • 会员专属群点击这里加入QQ群
客服邮箱
回到顶部