电脑桌面
添加小米粒文库到电脑桌面
安装后可以在桌面快捷访问

七年级有理数计算题VIP免费

七年级有理数计算题_第1页
1/4
七年级有理数计算题_第2页
2/4
七年级有理数计算题_第3页
3/4
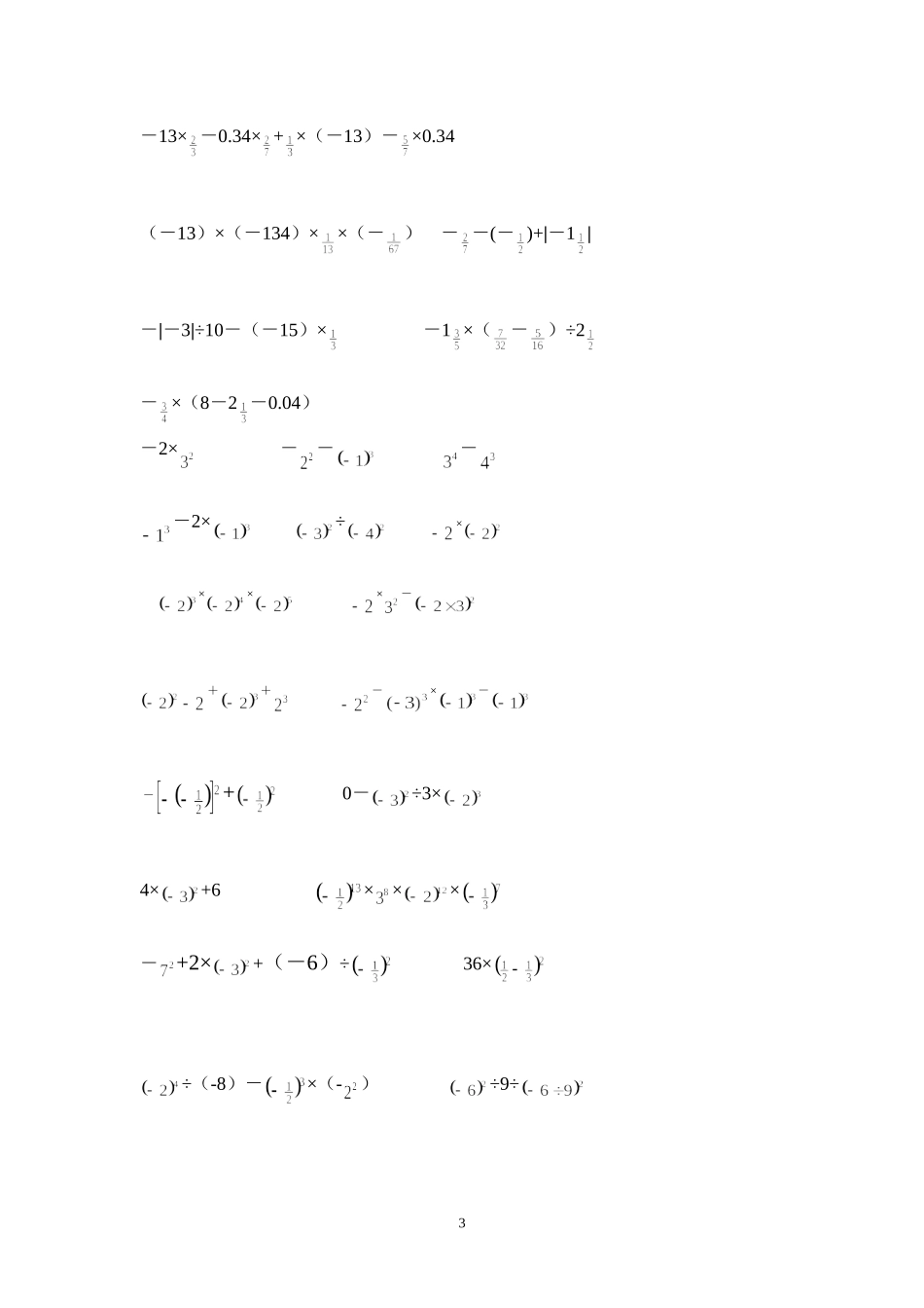
七年级有理数计算题一、有理数加法(-9)+(-13)(-12)+27(-28)+(-34)(-23)+7+(-152)+65(-)+|―|6+(-7)+(9)+238+(-22)+(+62)+(-78)(-8)+(-10)+2+(-1)(-)+0+(+)+(-)+(-)(-8)+47+18+(-27)(-5)+21+(-95)+29(-8.25)+8.25+(-0.25)+(-5.75)+(-7.5)(-6.37)+(-3)+6.37+2.75(-23)+|-63|+|-37|+(-77)二、有理数减法7-9―7―90-(-9)(-25)-(-13)8.2―(―6.3)(-12.5)-(-7.5)―1―(-)―(+)|-32|―(-12)―72―(-5)(-)―(-)―(+)―(-)―(-)―(-)―3―(-3.2)―7(+)―(-)―0.5+(-)-(-2.75)+(-0.5)-(-3)+6.75-5三、有理数乘法(-9)×(-)×(-0.26)1(-0.25)×(-)×4×(-7)(-)×(-)×(-)(-8)×4×(-)×(-0.75)(-1+)×56(-66)×〔1-(-)+(-)〕(+-+)×7225×-(-25)×+25××(2-)×(-)×(-)四、有理数除法18÷(-3)(-24)÷6(-57)÷(-3)(+)÷(-)(-)÷9-36÷(-1)÷(-)(-1)÷(-4)÷3÷(-)×(-)0÷[(-3)×(-7)](-+)÷(-)-3.5×(-0.5)×÷-1÷(-1)×1×(-7)÷(-2)-×-÷4五、有理数混合运算2÷(-)×÷(-5)×(-5)÷(-)×5[15-(1÷1+3]÷(-1)8-(-25)÷(-5)-(-+-)÷(-)(-16-50+3)÷(-2)2-13×-0.34×+×(-13)-×0.34(-13)×(-134)××(-)--(-)+|-1|-|-3|÷10-(-15)×-1×(-)÷2-×(8-2-0.04)-2×----2×÷××××-++-×--+0-÷3×4×+6×××-+2×+(-6)÷36×÷(-8)-×(-)÷9÷3×()×-2[-3×]÷4

1、当您付费下载文档后,您只拥有了使用权限,并不意味着购买了版权,文档只能用于自身使用,不得用于其他商业用途(如 [转卖]进行直接盈利或[编辑后售卖]进行间接盈利)。
2、本站所有内容均由合作方或网友上传,本站不对文档的完整性、权威性及其观点立场正确性做任何保证或承诺!文档内容仅供研究参考,付费前请自行鉴别。
3、如文档内容存在违规,或者侵犯商业秘密、侵犯著作权等,请点击“违规举报”。

碎片内容

七年级有理数计算题

您可能关注的文档

精品文库+ 关注
实名认证
内容提供者

中小学课件教案小学资料大全

确认删除?
VIP
微信客服
  • 扫码咨询
会员Q群
  • 会员专属群点击这里加入QQ群
客服邮箱
回到顶部