电脑桌面
添加小米粒文库到电脑桌面
安装后可以在桌面快捷访问

基本初等函数练习题VIP免费

基本初等函数练习题_第1页
1/5
基本初等函数练习题_第2页
2/5
基本初等函数练习题_第3页
3/5
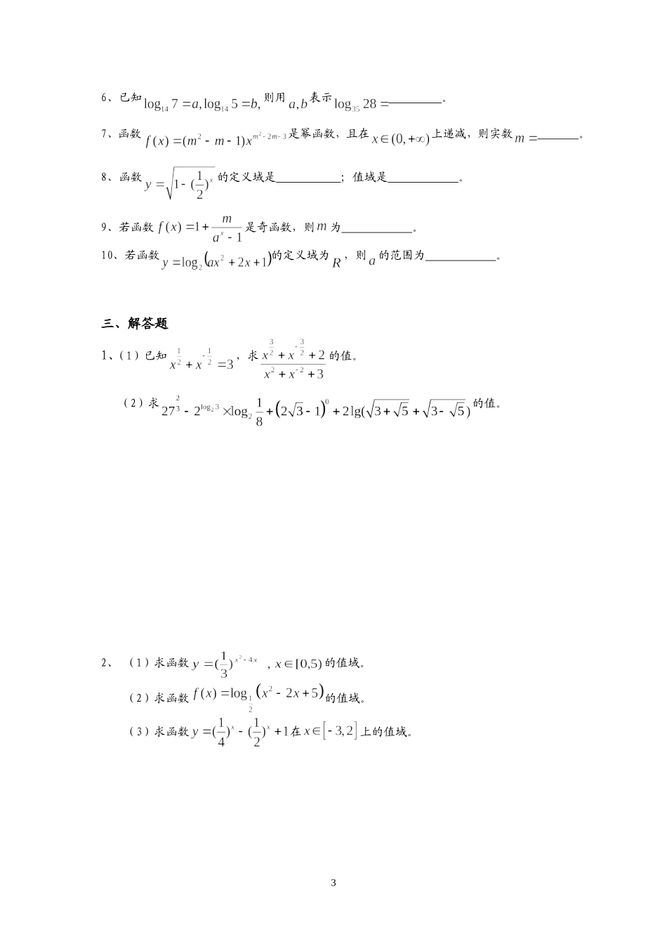
1基本初等函数练习题一、选择题1.下列函数与有相同图象的一个函数是()A.B.C.D.2、对于,下列说法中,正确的是()①若则;②若则;③若则;④若则。A、①②③④B、①③C、②④D、②3、设集合,则是()A、B、C、D、有限集4、函数的值域为()A、B、C、D、5、设,则()A、B、C、D、6、在中,实数的取值范围是()A、B、C、D、7、计算等于()A、0B、1C、2D、38、已知,那么用表示是()A、B、C、D、29、已知幂函数)过点(2,),则的值为()A、B、1C、2D、810、三个数的大小关系为()A.B.C.D.11、若函数在区间上的最大值是最小值的倍,则的值为()A.B.C.D.12、函数上的最大值和最小值之和为,则的值为()A.B.C.D.13、若,则的表达式为()A.B.C.D.14、已知,那么等于()A.B.C.D.15、设函数,则的值为()A.B.C.D.16、若,则()A.B.C.D.二、填空题1、从小到大的排列顺序是。2、计算:。3、计算:。4、设,则的值为。5、函数恒过定点。36、已知则用表示。7、函数是幂函数,且在上递减,则实数。8、函数的定义域是;值域是。9、若函数是奇函数,则为。10、若函数的定义域为,则的范围为。三、解答题1、(1)已知,求的值。(2)求的值。2、(1)求函数的值域。(2)求函数的值域。(3)求函数在上的值域。43、已知,,试比较与的大小。4、已知,⑴判断的奇偶性,并说明理由;⑵证明:.5

1、当您付费下载文档后,您只拥有了使用权限,并不意味着购买了版权,文档只能用于自身使用,不得用于其他商业用途(如 [转卖]进行直接盈利或[编辑后售卖]进行间接盈利)。
2、本站所有内容均由合作方或网友上传,本站不对文档的完整性、权威性及其观点立场正确性做任何保证或承诺!文档内容仅供研究参考,付费前请自行鉴别。
3、如文档内容存在违规,或者侵犯商业秘密、侵犯著作权等,请点击“违规举报”。

碎片内容

基本初等函数练习题

您可能关注的文档

精品文库+ 关注
实名认证
内容提供者

中小学课件教案小学资料大全

相关文档

确认删除?
VIP
微信客服
  • 扫码咨询
会员Q群
  • 会员专属群点击这里加入QQ群
客服邮箱
回到顶部