电脑桌面
添加小米粒文库到电脑桌面
安装后可以在桌面快捷访问

椭圆高考大题解析VIP免费

椭圆高考大题解析_第1页
1/8
椭圆高考大题解析_第2页
2/8
椭圆高考大题解析_第3页
3/8
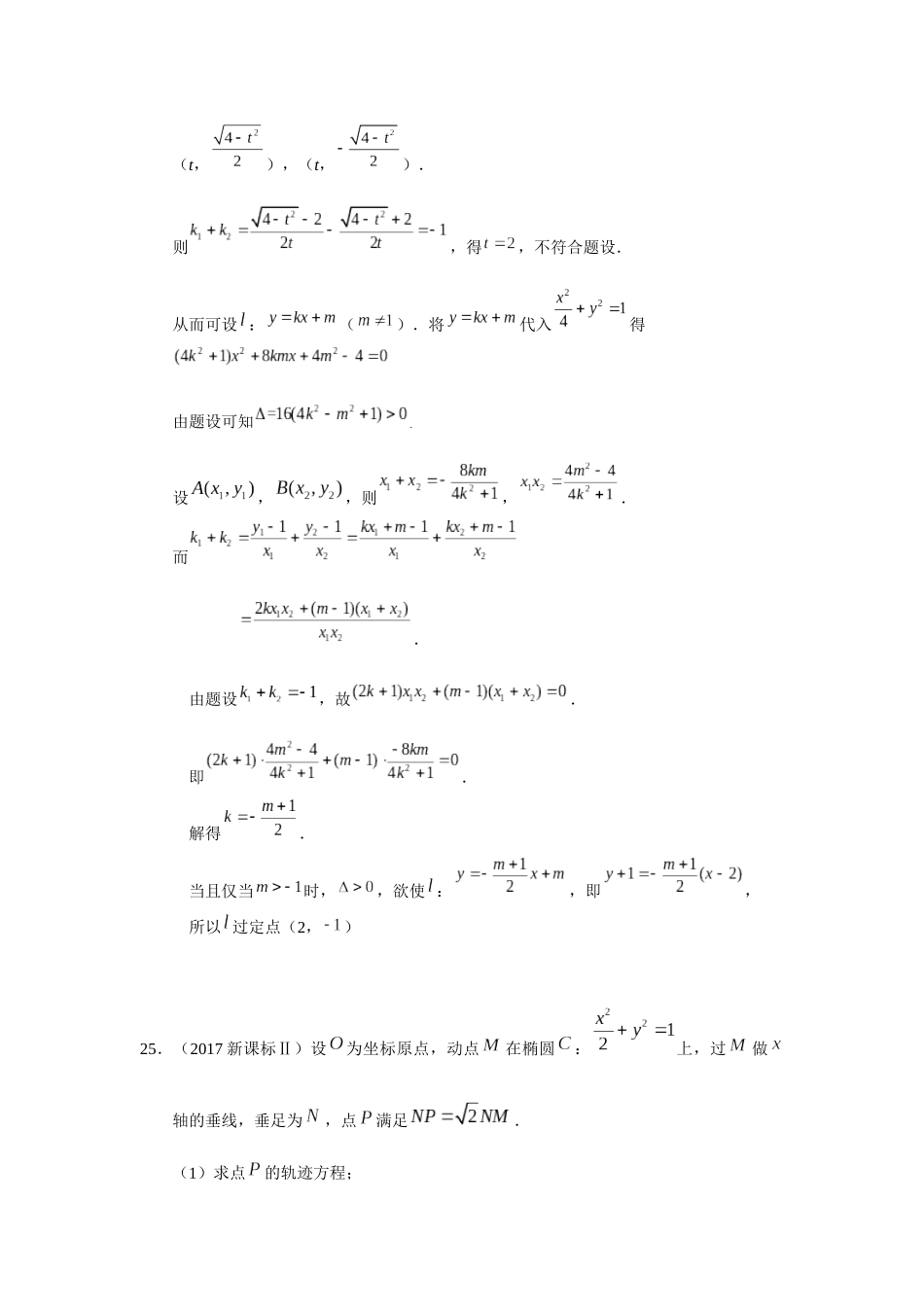
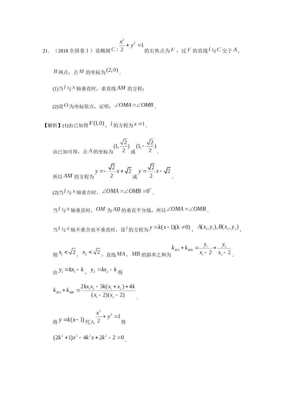
21.(2018全国卷Ⅰ)设椭圆的右焦点为,过的直线与交于,两点,点的坐标为.(1)当与轴垂直时,求直线的方程;(2)设为坐标原点,证明:.【解析】(1)由已知得,的方程为.由已知可得,点的坐标为或.所以的方程为或.(2)当与轴重合时,.当与轴垂直时,为的垂直平分线,所以.当与轴不重合也不垂直时,设的方程为,,则,,直线,的斜率之和为.由,得.将代入得.所以,,.则.从而,故,的倾斜角互补,所以.综上,.24.(2017新课标Ⅰ)已知椭圆:,四点,,,中恰有三点在椭圆上.(1)求的方程;(2)设直线不经过点且与相交于,两点.若直线与直线的斜率的和为,证明:过定点.【解析】(1)由于,两点关于y轴对称,故由题设知C经过,两点.又由知,C不经过点,所以点在C上.因此,解得.故C的方程为.(2)设直线与直线的斜率分别为,,如果与轴垂直,设:,由题设知,且,可得A,B的坐标分别为(t,),(t,).则,得,不符合题设.从而可设:().将代入得由题设可知.设,,则,.而.由题设,故.即.解得.当且仅当时,,欲使:,即,所以过定点(2,)25.(2017新课标Ⅱ)设为坐标原点,动点在椭圆:上,过做轴的垂线,垂足为,点满足.(1)求点的轨迹方程;(2)设点在直线上,且.证明:过点且垂直于的直线过的左焦点.【解析】(1)设,,则,,.由得,.因为在上,所以.因此点的轨迹方程为.(2)由题意知.设,,则,,,,,由得,又由(1)知,故.所以,即.又过点存在唯一直线垂直与,所以过点且垂直于的直线过的左焦点.30.(2015新课标2)已知椭圆C:(),直线不过原点O且不平行于坐标轴,l与C有两个交点A,B,线段AB的中点为M.(Ⅰ)证明:直线OM的斜率与的斜率的乘积为定值;(Ⅱ)若l过点,延长线段OM与C交于点P,四边形OAPB能否为平行四边行?若能,求此时l的斜率;若不能,说明理由.【解析】()Ⅰ设直线,,,.将代入得,故,.于是直线的斜率,即.所以直线的斜率与的斜率的乘积为定值.(Ⅱ)四边形能为平行四边形.因为直线过点,所以不过原点且与有两个交点的充要条件是,.由()Ⅰ得的方程为.设点的横坐标为.由得,即.将点的坐标代入直线的方程得,因此.四边形为平行四边形当且仅当线段与线段互相平分,即.于是.解得,.因为,,,所以当的斜率为或时,四边形为平行四边形.34.(2014新课标1)已知点,椭圆:的离心率为,是椭圆的右焦点,直线的斜率为,为坐标原点.(Ⅰ)求的方程;(Ⅱ)设过点的动直线与相交于两点,当的面积最大时,求的方程.【解析】(Ⅱ).36.(2014新课标2)设,分别是椭圆:的左,右焦点,是上一点且与轴垂直,直线与的另一个交点为.(Ⅰ)若直线的斜率为,求的离心率;(Ⅱ)若直线在轴上的截距为2,且,求.【解析】(Ⅰ)根据及题设知将代入,解得(舍去)故C的离心率为.(Ⅱ)由题意,原点为的中点,∥轴,所以直线与轴的交点是线段的中点,故,即①由得。设,由题意知,则,即代入C的方程,得。②将①及代入②得解得,故.

1、当您付费下载文档后,您只拥有了使用权限,并不意味着购买了版权,文档只能用于自身使用,不得用于其他商业用途(如 [转卖]进行直接盈利或[编辑后售卖]进行间接盈利)。
2、本站所有内容均由合作方或网友上传,本站不对文档的完整性、权威性及其观点立场正确性做任何保证或承诺!文档内容仅供研究参考,付费前请自行鉴别。
3、如文档内容存在违规,或者侵犯商业秘密、侵犯著作权等,请点击“违规举报”。

碎片内容

椭圆高考大题解析

您可能关注的文档

确认删除?
VIP
微信客服
  • 扫码咨询
会员Q群
  • 会员专属群点击这里加入QQ群
客服邮箱
回到顶部