电脑桌面
添加小米粒文库到电脑桌面
安装后可以在桌面快捷访问

北京四中高中数学 指数与指数幂的运算提高巩固练习 新人教A版必修1VIP免费

北京四中高中数学 指数与指数幂的运算提高巩固练习 新人教A版必修1_第1页
1/5
北京四中高中数学 指数与指数幂的运算提高巩固练习 新人教A版必修1_第2页
2/5
北京四中高中数学 指数与指数幂的运算提高巩固练习 新人教A版必修1_第3页
3/5
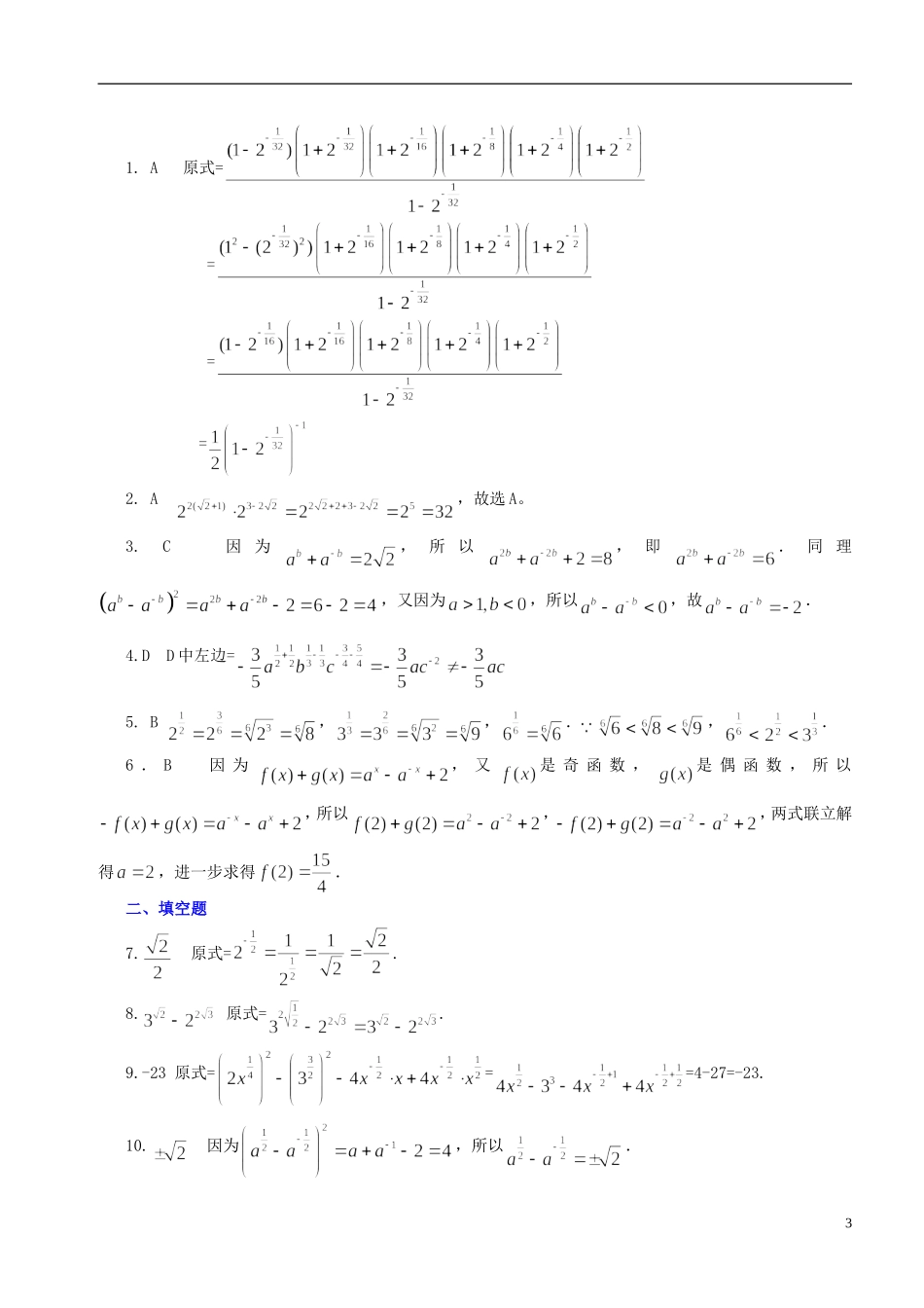
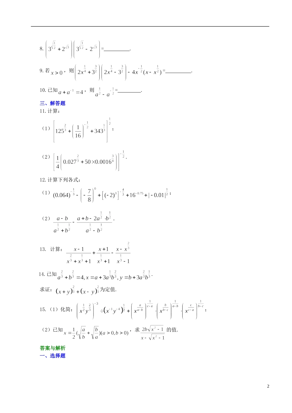
北京四中高中数学指数与指数幂的运算提高巩固练习新人教A版必修1巩固练习一、选择题1.化简,结果是()A.B.C.D.2.计算的结果是()A.32B.16C.64D.1283.若,且,则的值等于()A.B.C.D.24.下列各式中错误的是()A.B.C.D.5.、、这三个数的大小关系为()A.B.C.D.6.已知定义在上的奇函数和偶函数满足,若,则()A.2B.C.D.二、填空题7..18.=.9.若,则=.10.已知,则=.三、解答题11.计算:(1);(2).12.计算下列各式:(1);(2).13.计算:14.已知.求证:为定值.15.(1)化简:;(2)已知,求的值.答案与解析一、选择题21.A原式====2.A,故选A。3.C因为,所以,即.同理,又因为,所以,故.4.DD中左边=5.B,,.,.6.B因为,又是奇函数,是偶函数,所以,所以,,两式联立解得,进一步求得.二、填空题7.原式=.8.原式=.9.-23原式===4-27=-23.10.因为,所以.3三、解答题11.解:(1)原式=.(2)原式=====12.解:(1)原式===.(2)原式==-()=013.原式====0414.证明:同理原式=2,结论得证.15.解:(1)原式==+=(2)因为,所以,所以故当a>b时,=a-b.当a=b时,=0.当a

1、当您付费下载文档后,您只拥有了使用权限,并不意味着购买了版权,文档只能用于自身使用,不得用于其他商业用途(如 [转卖]进行直接盈利或[编辑后售卖]进行间接盈利)。
2、本站所有内容均由合作方或网友上传,本站不对文档的完整性、权威性及其观点立场正确性做任何保证或承诺!文档内容仅供研究参考,付费前请自行鉴别。
3、如文档内容存在违规,或者侵犯商业秘密、侵犯著作权等,请点击“违规举报”。

碎片内容

北京四中高中数学 指数与指数幂的运算提高巩固练习 新人教A版必修1

您可能关注的文档

雨丝书吧+ 关注
实名认证
内容提供者

乐于和他人分享知识,从事历史教学,热爱教育,高度负责。

确认删除?
微信客服
  • 扫码咨询
会员Q群
  • 会员专属群点击这里加入QQ群