电脑桌面
添加小米粒文库到电脑桌面
安装后可以在桌面快捷访问

北京四中高中数学 指数与指数幂的运算基础巩固练习 新人教A版必修1VIP免费

北京四中高中数学 指数与指数幂的运算基础巩固练习 新人教A版必修1_第1页
1/4
北京四中高中数学 指数与指数幂的运算基础巩固练习 新人教A版必修1_第2页
2/4
北京四中高中数学 指数与指数幂的运算基础巩固练习 新人教A版必修1_第3页
3/4
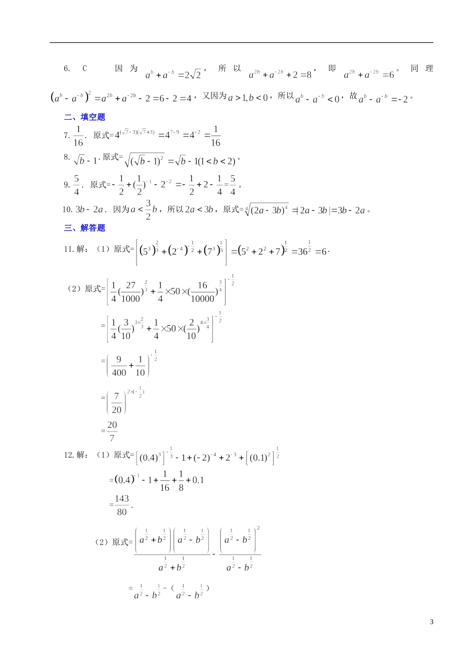
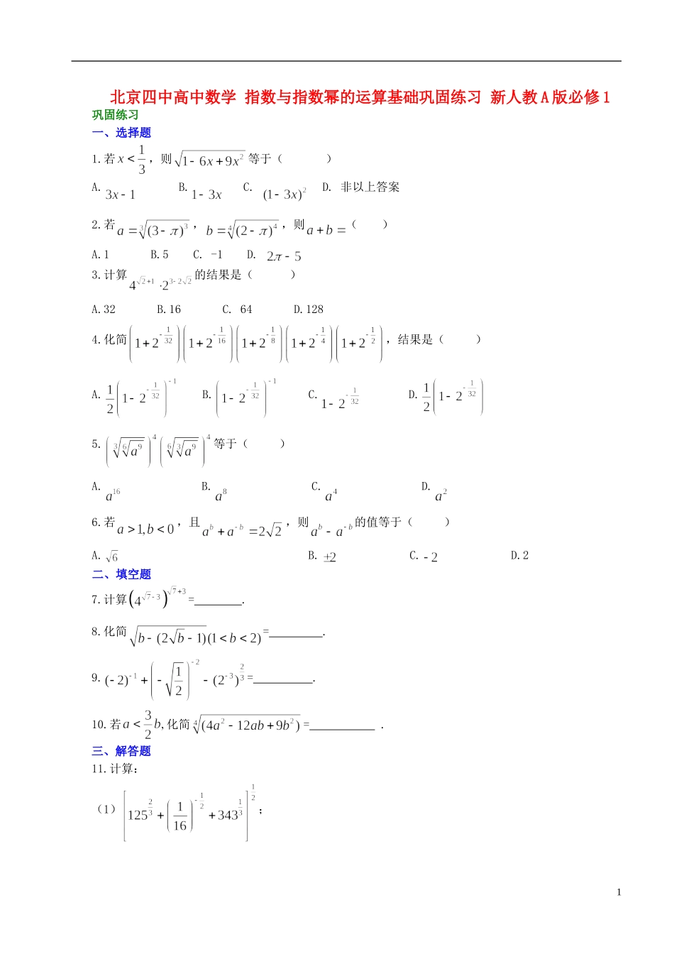
北京四中高中数学指数与指数幂的运算基础巩固练习新人教A版必修1巩固练习一、选择题1.若,则等于()A.B.C.D.非以上答案2.若,,则()A.1B.5C.-1D.3.计算的结果是()A.32B.16C.64D.1284.化简,结果是()A.B.C.D.5.等于()A.B.C.D.6.若,且,则的值等于()A.B.C.D.2二、填空题7.计算=.8.化简=.9.=.10.若化简=.三、解答题11.计算:(1);1(2).12.计算下列各式:(1);(2)。13.计算:答案与解析一、选择题1.B因为,所以,原式==,故选B。2.A因为,所以,故选A。3.A,故选A。4.A原式====5.C=26.C因为,所以,即。同理,又因为,所以,故。二、填空题7..原式=8..原式=。9..原式==。10..因为,所以,原式=。三、解答题11.解:(1)原式=.(2)原式=====12.解:(1)原式===.(2)原式==-()3=013.原式====04

1、当您付费下载文档后,您只拥有了使用权限,并不意味着购买了版权,文档只能用于自身使用,不得用于其他商业用途(如 [转卖]进行直接盈利或[编辑后售卖]进行间接盈利)。
2、本站所有内容均由合作方或网友上传,本站不对文档的完整性、权威性及其观点立场正确性做任何保证或承诺!文档内容仅供研究参考,付费前请自行鉴别。
3、如文档内容存在违规,或者侵犯商业秘密、侵犯著作权等,请点击“违规举报”。

碎片内容

北京四中高中数学 指数与指数幂的运算基础巩固练习 新人教A版必修1

您可能关注的文档

雨丝书吧+ 关注
实名认证
内容提供者

乐于和他人分享知识,从事历史教学,热爱教育,高度负责。

确认删除?
VIP
微信客服
  • 扫码咨询
会员Q群
  • 会员专属群点击这里加入QQ群
客服邮箱
回到顶部