电脑桌面
添加小米粒文库到电脑桌面
安装后可以在桌面快捷访问

小学人教四年级数学画角练习题2VIP免费

小学人教四年级数学画角练习题2_第1页
1/2
小学人教四年级数学画角练习题2_第2页
2/2
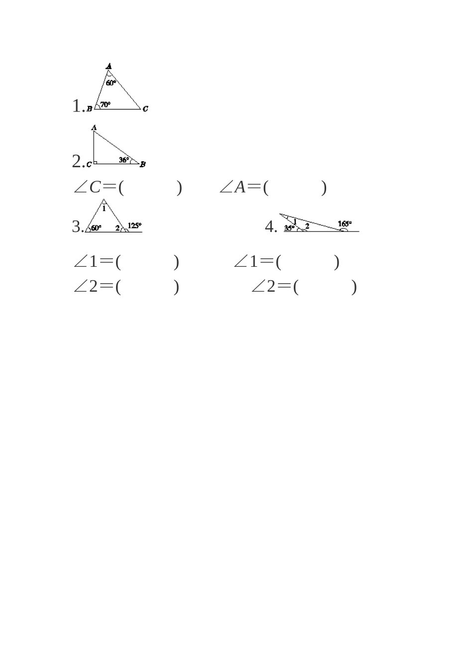
操作题色圃中小学1.画出下面各三角形指定底边上的高。2.画一画。从前面看从左面看从上面看3.按要求画一画。(1)画出图形A向右平移8格得到的图形B。(2)画出图形B向下平移4格得到的图形C。(3)以直线l为对称轴画出图形A的轴对称图形D。五、求未知角的度数。1.2.∠C=()∠A=()3.4.∠1=()∠1=()∠2=()∠2=()

1、当您付费下载文档后,您只拥有了使用权限,并不意味着购买了版权,文档只能用于自身使用,不得用于其他商业用途(如 [转卖]进行直接盈利或[编辑后售卖]进行间接盈利)。
2、本站所有内容均由合作方或网友上传,本站不对文档的完整性、权威性及其观点立场正确性做任何保证或承诺!文档内容仅供研究参考,付费前请自行鉴别。
3、如文档内容存在违规,或者侵犯商业秘密、侵犯著作权等,请点击“违规举报”。

碎片内容

小学人教四年级数学画角练习题2

您可能关注的文档

中小学教育精品资料+ 关注
实名认证
内容提供者

中小学教育资料,优质文档创作者

确认删除?
VIP
微信客服
  • 扫码咨询
会员Q群
  • 会员专属群点击这里加入QQ群
客服邮箱
回到顶部