电脑桌面
添加小米粒文库到电脑桌面
安装后可以在桌面快捷访问

常见递推数列类型以及应用VIP免费

常见递推数列类型以及应用_第1页
1/11
常见递推数列类型以及应用_第2页
2/11
常见递推数列类型以及应用_第3页
3/11
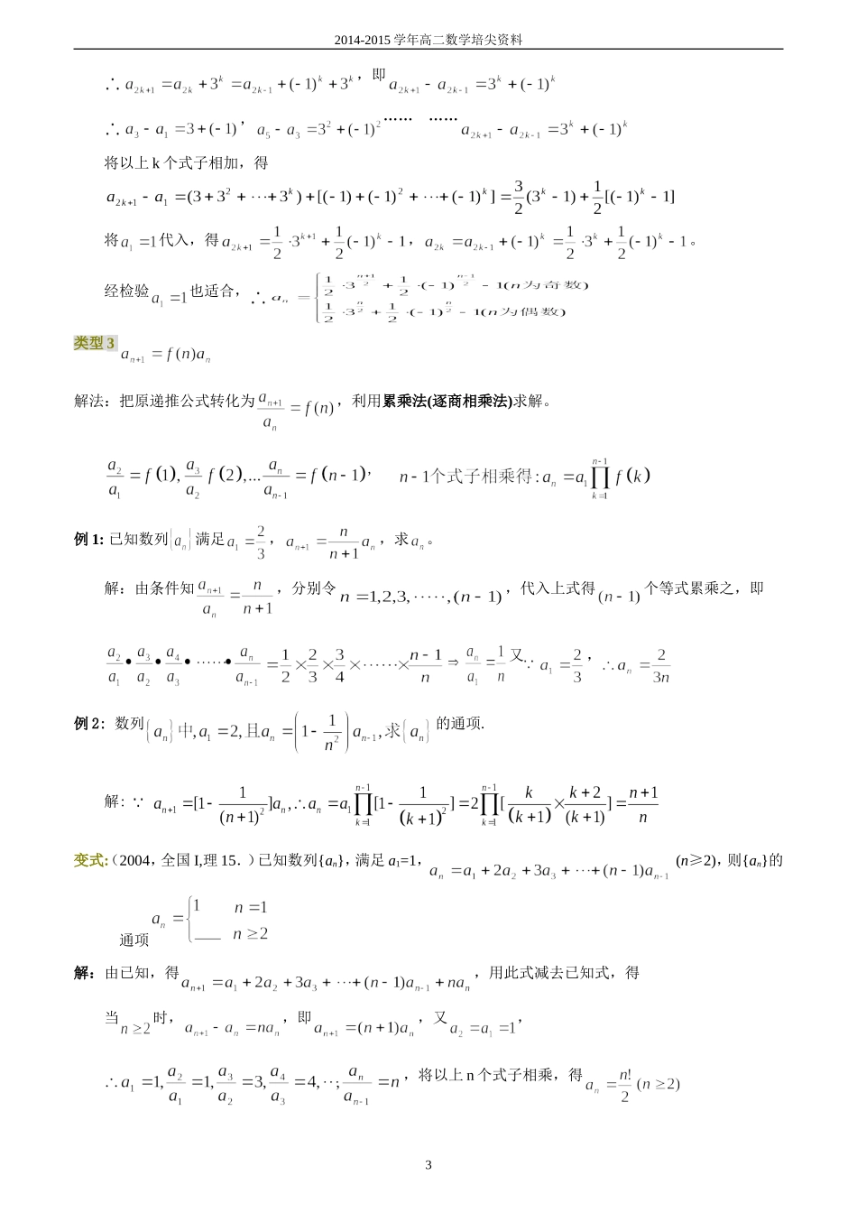
2014-2015学年高二数学培尖资料2014-2015学年高二数学培尖资料-------高考数学递推数列题型归纳解析类型1递推公式为与的关系式。(或)解法:这种类型一般利用与消去或与消去进行求解。例1:已知数列前n项和.(1)求与的关系;(2)求通项公式.解:(1)由得:于是所以.(2)应用类型4((其中p,q均为常数,))的方法,上式两边同乘以得:由.于是数列是以2为首项,2为公差的等差数列,所以例2:数列的前项和为,且,,求的值及数列的通项公式;分析:由,,n=1,2,3,……,得,,,由(n≥2),得(n≥2),又=,所以(n≥2),∴数列的通项公式为;总结:这个类型主要用到公式,在时很容易犯错误,需要注意。变式:(05,江西,文,已知数列{an}的前n项和Sn满足Sn-Sn-2=3求数列{an}的通项公式.解:,,两边同乘以,可得令12014-2015学年高二数学培尖资料…………又,,,。类型2解法:把原递推公式转化为,利用累加法(逐差相加法)求解。例1:已知数列满足,,求。解:由条件知:分别令,代入上式得个等式累加之,即所以,例2:数列且,求数列的通项.分析:注意到左右两边系数与下标乘积均为,将原式两边同除以,变形为,可转化为类型一求解.下略.变式:(2004,全国I,理22.本小题满分14分)已知数列,且a2k=a2k-1+(-1)K,a2k+1=a2k+3k,其中k=1,2,3,…….(I)求a3,a5;(II)求{an}的通项公式.解:,22014-2015学年高二数学培尖资料,即,…………将以上k个式子相加,得将代入,得,。经检验也适合,类型3解法:把原递推公式转化为,利用累乘法(逐商相乘法)求解。,例1:已知数列满足,,求。解:由条件知,分别令,代入上式得个等式累乘之,即又,例2:数列的通项.解:变式:(2004,全国I,理15.)已知数列{an},满足a1=1,(n≥2),则{an}的通项解:由已知,得,用此式减去已知式,得当时,,即,又,,将以上n个式子相乘,得32014-2015学年高二数学培尖资料类型4(其中p,q均为常数,)用待定系数法,构造一个公比为p的等比数列,令,,从而{}是一个公比为p的等比数列.例1:(06,重庆,文)已知数列中,,,求.解:设递推公式可以转化为即.故递推公式为,令,则,且.所以是以为首项,2为公比的等比数列,则,所以.类型5:递推式:例1:已知数列中,,,求。法一:在两边乘以得:令,则,解之得:所以法二:在两边除以得:,令,则有,采用逐差求和法可得3所以法三:待定系数法:设,则所以令,则,所以变式:(07天津)在数列中N,其中.求数列的通项公式.【解析】由N可得所以为等数列,其公差为1,首项为0.故42014-2015学年高二数学培尖资料所以数列的通项公式为类型6解法:这种类型一般利用待定系数法构造等比数列,即令,与已知递推式比较,解出,从而转化为是公比为的等比数列。例1:设数列:,求.解:设,将代入递推式,得…(1)则,又,故代入(1)得说明:(1)若为的二次式,则可设;(2)本题也可由,()两式相减得转化为求之.变式:(2008年广州一模19题)已知数列中,且(且).(1)若数列为等差数列,求实数的值;(2)求数列的前项和.解:(1)方法1: ,∴,.设,由为等差数列,则有.∴.∴.解得.事实上,,综上可知,当时,数列为首项是、公差是1的等差数列.52014-2015学年高二数学培尖资料方法2: 数列为等差数列,设,由为等差数列,则有∴.∴.综上可知,当时,数列为首项是、公差是1的等差数列.(2)由(1)知,,∴.∴.即.令,①则.②②-①,得.∴.类型7解法:这种类型一般是等式两边取对数后转化为,再利用待定系数法求解。例:已知数列{}中,,求数列解:由两边取对数得,令,则,再利用待定系数法解得:。变式:(06山东理)已知a1=2,点(an,an+1)在函数f(x)=x2+2x的图象上,其中=1,2,3,…(1)证明数列{lg(1+an)}是等比数列;(2)设Tn=(1+a1)(1+a2)…(1+an),求Tn及数列{an}的通项;(3)记bn=,求{bn}数列的前项和Sn,并证明Sn+=1新疆源头学子小屋特级教师王新敞http://www.xjktyg.com/wxc/wxckt@126.comwxckt@126.comhttp://www.xjktyg.com/wxc/王新敞特级教师源头学子小屋新疆解:(Ⅰ)由已知,,两边取对数得,即是公比为2的等比数列新疆源头学子小屋特级教师王新敞...

1、当您付费下载文档后,您只拥有了使用权限,并不意味着购买了版权,文档只能用于自身使用,不得用于其他商业用途(如 [转卖]进行直接盈利或[编辑后售卖]进行间接盈利)。
2、本站所有内容均由合作方或网友上传,本站不对文档的完整性、权威性及其观点立场正确性做任何保证或承诺!文档内容仅供研究参考,付费前请自行鉴别。
3、如文档内容存在违规,或者侵犯商业秘密、侵犯著作权等,请点击“违规举报”。

碎片内容

常见递推数列类型以及应用

您可能关注的文档

中小学资料+ 关注
实名认证
内容提供者

精美课件,值得下载

确认删除?
VIP
微信客服
  • 扫码咨询
会员Q群
  • 会员专属群点击这里加入QQ群
客服邮箱
回到顶部