电脑桌面
添加小米粒文库到电脑桌面
安装后可以在桌面快捷访问

高中数学 1.3《二项式定理》教学案 新人教A版选修选修2-3VIP免费

高中数学 1.3《二项式定理》教学案 新人教A版选修选修2-3_第1页
1/5
高中数学 1.3《二项式定理》教学案 新人教A版选修选修2-3_第2页
2/5
高中数学 1.3《二项式定理》教学案 新人教A版选修选修2-3_第3页
3/5
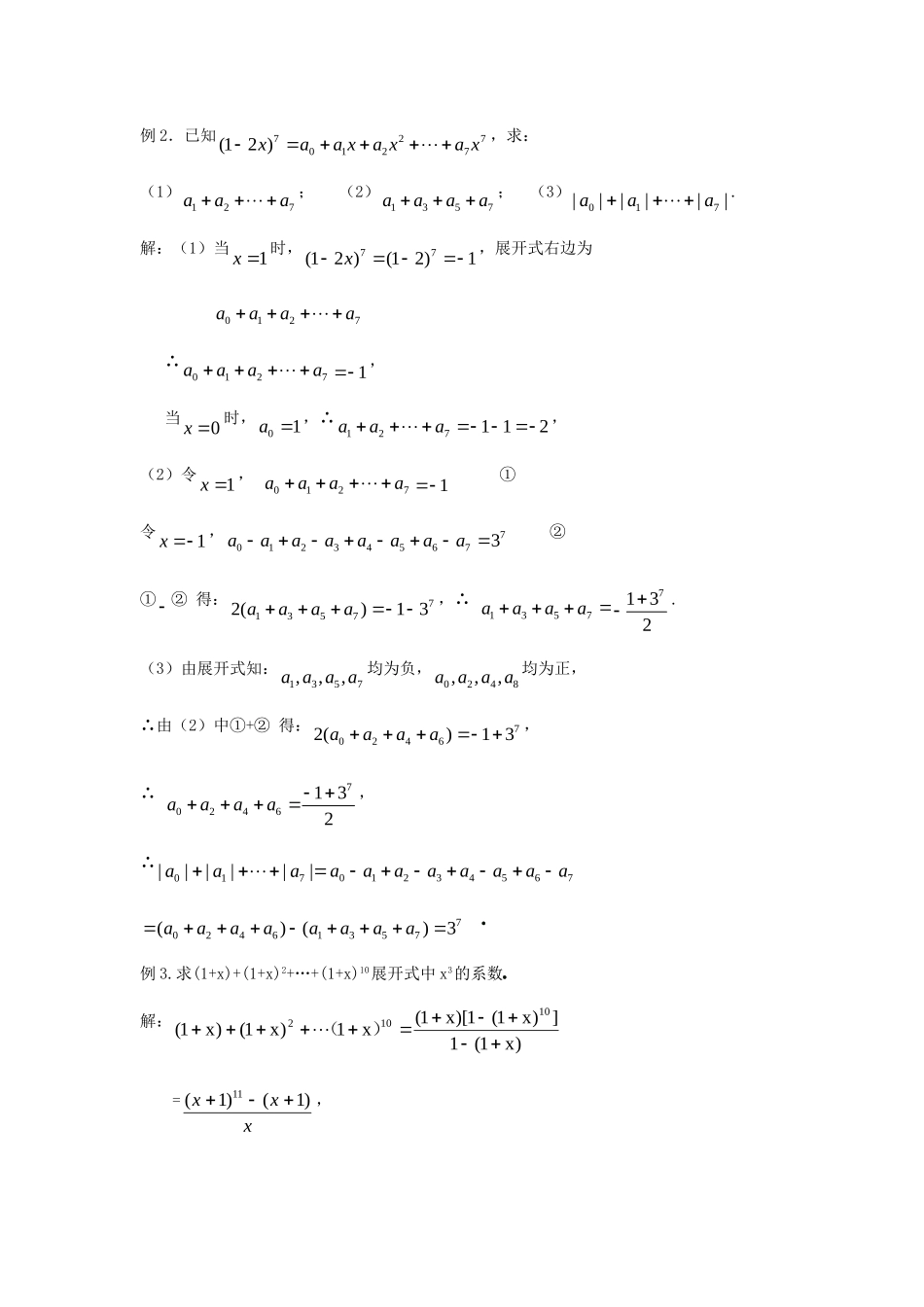
1.3二项式定理学习目标:1奎屯王新敞新疆理解和掌握二项式系数的性质,并会简单的应用;2.初步了解用赋值法是解决二项式系数问题;3.能用函数的观点分析处理二项式系数的性质,提高分析问题和解决问题的能力奎屯王新敞新疆奎屯王新敞新疆学习重点:二项式系数的性质及其对性质的理解和应用奎屯王新敞新疆学习难点:二项式系数的性质及其对性质的理解和应用奎屯王新敞新疆课类型:新授课奎屯王新敞新疆课时安排:1课时奎屯王新敞新疆教具:多媒体、实物投影仪奎屯王新敞新疆教学过程:一、复习引入:1.二项式定理及其特例:(1)01()()nnnrnrrnnnnnnabCaCabCabCbnN,(2)1(1)1nrrnnnxCxCxx.2.二项展开式的通项公式:1rnrrrnTCab奎屯王新敞新疆奎屯王新敞新疆3.求常数项、有理项和系数最大的项时,要根据通项公式讨论对r的限制;求有理项时要注意到指数及项数的整数性奎屯王新敞新疆二、讲解新课:11奎屯王新敞新疆二项式系数表(杨辉三角)()nab展开式的二项式系数,当n依次取1,2,3…时,二项式系数表,表中每行两端都是1,除1以外的每一个数都等于它肩上两个数的和奎屯王新敞新疆2.二项式系数的性质:()nab展开式的二项式系数是0nC,1nC,2nC,…,nnC.rnC可以看成以r为自变量的函数()fr定义域是{0,1,2,,}n,例当6n时,其图象是7个孤立的点(如图)(1)对称性.与首末两端“等距离”的两个二项式系数相等( mnmnnCC).直线2nr是图象的对称轴.(2)增减性与最大值. 1(1)(2)(1)1!kknnnnnnknkCCkk,∴knC相对于1knC的增减情况由1nkk决定,1112nknkk,当12nk时,二项式系数逐渐增大.由对称性知它的后半部分是逐渐减小的,且在中间取得最大值;当n是偶数时,中间一项2nnC取得最大值;当n是奇数时,中间两项12nnC,12nnC取得最大值.(3)各二项式系数和: 1(1)1nrrnnnxCxCxx,令1x,则0122nrnnnnnnCCCCC奎屯王新敞新疆三、讲解范例:例1.在()nab的展开式中,奇数项的二项式系数的和等于偶数项的二项式系数的和奎屯王新敞新疆证明:在展开式01()()nnnrnrrnnnnnnabCaCabCabCbnN中,令1,1ab,则0123(11)(1)nnnnnnnnCCCCC,即02130()()nnnnCCCC,∴0213nnnnCCCC,即在()nab的展开式中,奇数项的二项式系数的和等于偶数项的二项式系数的和.说明:由性质(3)及例1知021312nnnnnCCCC.例2.已知7270127(12)xaaxaxax,求:(1)127aaa;(2)1357aaaa;(3)017||||||aaa.解:(1)当1x时,77(12)(12)1x,展开式右边为0127aaaa∴0127aaaa1,当0x时,01a,∴127112aaa,(2)令1x,0127aaaa1①令1x,7012345673aaaaaaaa②①②得:713572()13aaaa,∴1357aaaa7132.(3)由展开式知:1357,,,aaaa均为负,0248,,,aaaa均为正,∴由(2)中①+②得:702462()13aaaa,∴70246132aaaa,∴017||||||aaa01234567aaaaaaaa702461357()()3aaaaaaaa奎屯王新敞新疆例3.求(1+x)+(1+x)2+…+(1+x)10展开式中x3的系数奎屯王新敞新疆解:)x1(1])x1(1)[x1(x1)x1()x1(10102)(=xxx)1()1(11,∴原式中3x实为这分子中的4x,则所求系数为711C奎屯王新敞新疆例4.在(x2+3x+2)5的展开式中,求x的系数奎屯王新敞新疆解: 5552)2x()1x()2x3x(∴在(x+1)5展开式中,常数项为1,含x的项为x5C15,在(2+x)5展开式中,常数项为25=32,含x的项为x80x2C415∴展开式中含x的项为x240)32(x5)x80(1,∴此展开式中x的系数为240奎屯王新敞新疆例5.已知n2)x2x(的展开式中,第五项与第三项的二项式系数之比为14;3,求展开式的常数项奎屯王新敞新疆解:依题意2n4n2...

1、当您付费下载文档后,您只拥有了使用权限,并不意味着购买了版权,文档只能用于自身使用,不得用于其他商业用途(如 [转卖]进行直接盈利或[编辑后售卖]进行间接盈利)。
2、本站所有内容均由合作方或网友上传,本站不对文档的完整性、权威性及其观点立场正确性做任何保证或承诺!文档内容仅供研究参考,付费前请自行鉴别。
3、如文档内容存在违规,或者侵犯商业秘密、侵犯著作权等,请点击“违规举报”。

碎片内容

高中数学 1.3《二项式定理》教学案 新人教A版选修选修2-3

您可能关注的文档

星河书苑+ 关注
实名认证
内容提供者

从事历史教学,热爱教育,高度负责。

确认删除?
VIP
微信客服
  • 扫码咨询
会员Q群
  • 会员专属群点击这里加入QQ群
客服邮箱
回到顶部