电脑桌面
添加小米粒文库到电脑桌面
安装后可以在桌面快捷访问

2019年公式==架空输电线路设计VIP免费

2019年公式==架空输电线路设计_第1页
1/4
2019年公式==架空输电线路设计_第2页
2/4
2019年公式==架空输电线路设计_第3页
3/4
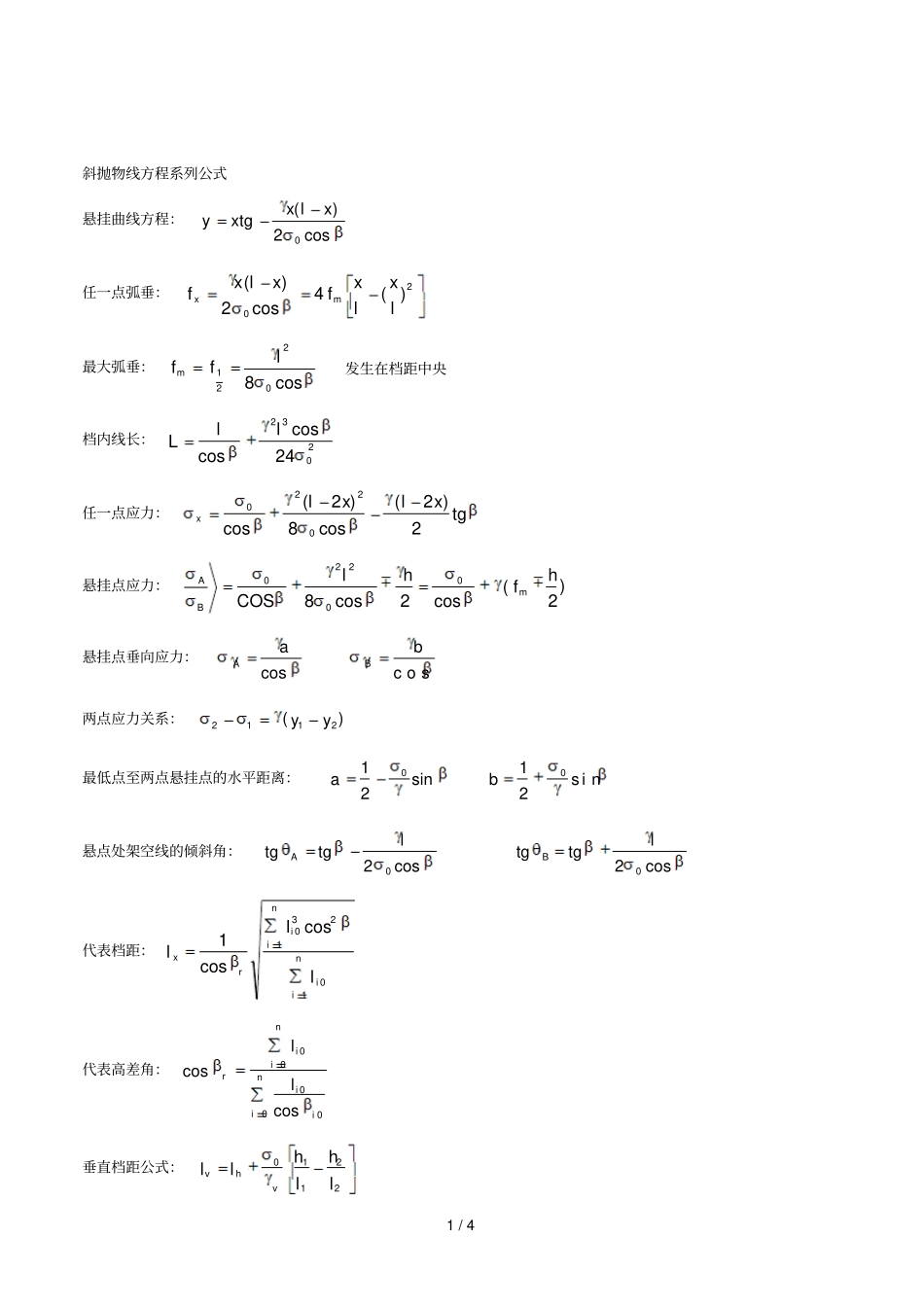
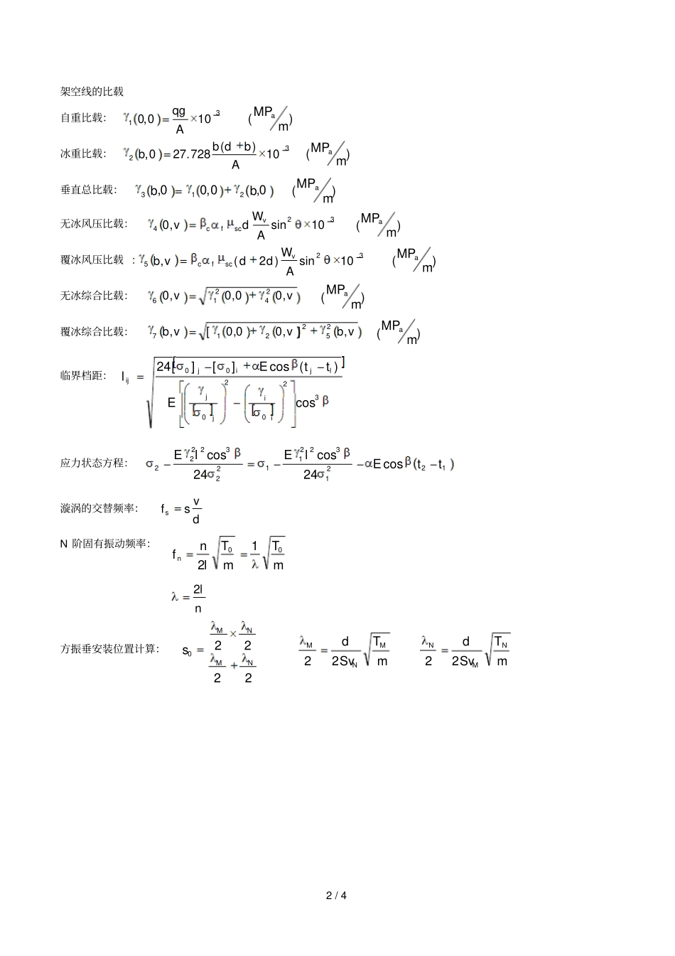
1/4斜抛物线方程系列公式悬挂曲线方程:cos2)(0xlxxtgy任一点弧垂:20)(4cos2)(lxlxfxlxfmx最大弧垂:cos80221lffm发生在档距中央档内线长:203224coscosllL任一点应力:tgxlxlx2)2(cos8)2(cos0220悬挂点应力:)2(cos2cos800220hfhlCOSmBA悬挂点垂向应力:cosaAcosbB两点应力关系:)(2112yy最低点至两点悬挂点的水平距离:sin210asin210b悬点处架空线的倾斜角:cos20ltgtgAcos20ltgtgB代表档距:niiniirxlll101230coscos1代表高差角:niiiniirll00000coscos垂直档距公式:22110lhlhllvhv2/4架空线的比载自重比载:31100,0Aqg)(mMPa冰重比载:3210)(728.270,Abdbb)(mMPa垂直总比载:0,0,00,213bb)(mMPa无冰风压比载:32410sin,0AWdvvscfc)(mMPa覆冰风压比载:32510sin)2(,AWddvbvscfc)(mMPa无冰综合比载:vv,00,0,024216)(mMPa覆冰综合比载:vbvvb,],00,0[,252217)(mMPa临界档距:3202000cos)(cos][][24iijjljijijEttEl应力状态方程:1221322112232222cos24cos24costtElElE漩涡的交替频率:dvsfsN阶固有振动频率:mTmTlnfn0012nl2方振垂安装位置计算:22220NMNMsmTSvdMNM22mTSvdNMN223/44/4

1、当您付费下载文档后,您只拥有了使用权限,并不意味着购买了版权,文档只能用于自身使用,不得用于其他商业用途(如 [转卖]进行直接盈利或[编辑后售卖]进行间接盈利)。
2、本站所有内容均由合作方或网友上传,本站不对文档的完整性、权威性及其观点立场正确性做任何保证或承诺!文档内容仅供研究参考,付费前请自行鉴别。
3、如文档内容存在违规,或者侵犯商业秘密、侵犯著作权等,请点击“违规举报”。

碎片内容

2019年公式==架空输电线路设计

您可能关注的文档

确认删除?
VIP
微信客服
  • 扫码咨询
会员Q群
  • 会员专属群点击这里加入QQ群
客服邮箱
回到顶部