电脑桌面
添加小米粒文库到电脑桌面
安装后可以在桌面快捷访问

分式混合运算练习题(30题)VIP免费

分式混合运算练习题(30题)_第1页
1/4
分式混合运算练习题(30题)_第2页
2/4
分式混合运算练习题(30题)_第3页
3/4
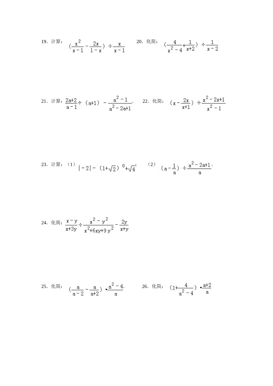
1.计算:(1)(2)(﹣2m2n2﹣)2•(3m1﹣n3)﹣32.计算:3.化简:.4.化简:5.计算:.6.化简•(x29﹣)7.计算:.8.计算:+.9.计算:(1);(2).10..11.计算:12.计算:﹣a1﹣.13.计算:(1)(2)14.计算:a2+﹣15.计算:.16.化简:,并指出x的取值范围.17.已知ab=1,试求分式:的值.18.计算:﹣19.计算:20.化简:21.计算:.22.化简:23.计算:(1);(2).24.化简:25.化简:.26.化简:27.计算:28.计算:()÷29.化简:.30.计算:﹣x2﹣)

1、当您付费下载文档后,您只拥有了使用权限,并不意味着购买了版权,文档只能用于自身使用,不得用于其他商业用途(如 [转卖]进行直接盈利或[编辑后售卖]进行间接盈利)。
2、本站所有内容均由合作方或网友上传,本站不对文档的完整性、权威性及其观点立场正确性做任何保证或承诺!文档内容仅供研究参考,付费前请自行鉴别。
3、如文档内容存在违规,或者侵犯商业秘密、侵犯著作权等,请点击“违规举报”。

碎片内容

分式混合运算练习题(30题)

您可能关注的文档

百万精品文档+ 关注
实名认证
内容提供者

中小学学习资料教案课件

确认删除?
VIP
微信客服
  • 扫码咨询
会员Q群
  • 会员专属群点击这里加入QQ群
客服邮箱
回到顶部