电脑桌面
添加小米粒文库到电脑桌面
安装后可以在桌面快捷访问

2019高考物理总复习提分策略一临考必记3电场与磁场学案VIP免费

2019高考物理总复习提分策略一临考必记3电场与磁场学案_第1页
1/7
2019高考物理总复习提分策略一临考必记3电场与磁场学案_第2页
2/7
2019高考物理总复习提分策略一临考必记3电场与磁场学案_第3页
3/7
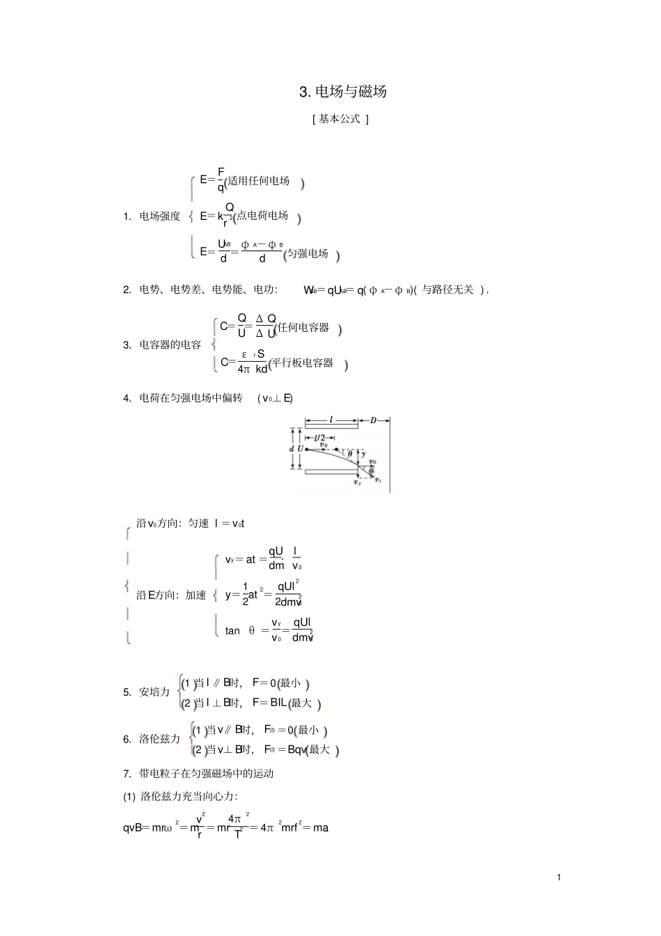
13.电场与磁场[基本公式]1.电场强度E=Fq适用任何电场E=kQr2点电荷电场E=UABd=φA-φBd匀强电场2.电势、电势差、电势能、电功:WAB=qUAB=q(φA-φB)(与路径无关).3.电容器的电容C=QU=ΔQΔU任何电容器C=εrS4πkd平行板电容器4.电荷在匀强电场中偏转(v0⊥E)沿v0方向:匀速l=v0t沿E方向:加速vy=at=qUdm·lv0y=12at2=qUl22dmv20tanθ=vyv0=qUldmv205.安培力1当I∥B时,F=0最小2当I⊥B时,F=BIL最大6.洛伦兹力1当v∥B时,F洛=0最小2当v⊥B时,F洛=Bqv最大7.带电粒子在匀强磁场中的运动(1)洛伦兹力充当向心力:qvB=mrω2=mv2r=mr4π2T2=4π2mrf2=ma.2(2)圆周运动的半径r=mvqB,周期T=2πmqB.8.速度选择器、电磁流量计、磁流体发电机、霍尔效应稳定时,电荷所受电场力和洛伦兹力平衡.9.回旋加速器(1)粒子在磁场中运动一周,被加速两次;交变电场的频率与粒子在磁场中做圆周运动的频率相同.T电场=T回旋=T=2πmqB.(2)粒子在电场中每加速一次,都有qU=ΔEk.(3)粒子在边界射出时,都有相同的圆周半径R,有R=mvqB.(4)粒子飞出加速器时的动能为Ek=mv22=B2R2q22m.(在粒子质量、电荷量确定的情况下,粒子所能达到的最大动能只与加速器的半径R和磁感应强度B有关,与加速电压无关)[二级结论]1.顺着电场线方向电势φ一定降低.2.等量异种电荷连线的中垂线(面)的电势与无穷远处电势相等(等于零).3.在匀强电场中,长度相等且平行的两线段的端点的电势差相等.4.电容器充电电流,流入正极、流出负极;电容器放电电流,流出正极,流入负极.5.带电粒子在电场和重力场中做竖直方向的圆周运动用等效法:当重力和电场力的合力沿半径且背离圆心处速度最大,当其合力沿半径指向圆心处速度最小.6.同向电流相吸,反向电流相斥,交叉电流有转到同向的趋势.7.圆周运动中有关对称的规律:(1)从直线边界射入匀强磁场的粒子,从同一边界射出时,速度与边界的夹角相等,如图甲所示;(2)在圆形磁场区域内,沿径向射入的粒子,必沿径向射出,如图乙所示.8.最小圆形磁场区域的计算:找到磁场边界的两点,以这两点的距离为直径的圆面积最小.9.带电粒子在匀强电场、匀强磁场和重力场中,如果做直线运动,一定做匀速直线运动.如果做匀速圆周运动,重力和电场力一定平衡,只有洛伦兹力提供向心力.3[临考必练]1.如图所示,一均匀的带电荷量为+Q的细棒,在过中点c垂直于细棒的直线上有a、b、d三点,且ab=bc=cd=L,在a点处有一电荷量为+Q2的固定点电荷.已知b点处的电场强度为零,则d点处电场强度的大小为(k为静电力常量)()A.k5Q9L2B.k3QL2C.k3Q2L2D.k9Q2L2解析:电荷量为+Q2的点电荷在b处产生电场强度为E=kQ2L2,方向向右.在b点处的场强为零,根据电场的叠加原理可知细棒与点电荷在b处产生电场强度大小相等,方向相反,则知细棒在b处产生的电场强度大小为E′=kQ2L2,方向向左.根据对称性可知细棒在d处产生的电场强度大小为kQ2L2,方向向右;而电荷量为+Q2的点电荷在d处产生电场强度为E″=kQ23L2=kQ18L2,方向向右.所以d点处电场强度的大小为Ed=E″+E′=5kQ9L2,方向向右,故选A.答案:A2.平行板电容器的两极板M、N接在一恒压电源上,N板接地.板间有a、b、c三点.若将上板M向下移动少许至图中虚线位置,则()A.b点场强减小B.b、c两点间电势差减小C.c点电势升高D.a点电势降低解析:电源电压不变,即电容器的极板间电压不变,当M向下移动时,极板间距减小,根据E=Ud,故极板间的场强增大,所以b点的场强增大,选项A错误;b、c两点间电势差Ubc=E·bc,E增大,而bc不变,故Ubc增大,选项B错误;同理c、N间的电势差也增大,而N点的电势为0,由电源的正极连接下极板可知,UNc=φN-φc=-φc,所以c点的电势降低,选项C错误;同理a点的电势也降低,选项D正确.答案:D3.(多选)如图所示,虚线为某电场中的三条电场线1、2、3,实线表示某带电粒子仅在电场力作用下的运动轨迹,a、b是轨迹上的两点,则下列说法中正确的是()A.粒子在a点的加速度大小小于在b点的加速度大小B.粒子在a点的电势能大于在b点的电势能4C.粒子在a点的速度大小大于...

1、当您付费下载文档后,您只拥有了使用权限,并不意味着购买了版权,文档只能用于自身使用,不得用于其他商业用途(如 [转卖]进行直接盈利或[编辑后售卖]进行间接盈利)。
2、本站所有内容均由合作方或网友上传,本站不对文档的完整性、权威性及其观点立场正确性做任何保证或承诺!文档内容仅供研究参考,付费前请自行鉴别。
3、如文档内容存在违规,或者侵犯商业秘密、侵犯著作权等,请点击“违规举报”。

碎片内容

2019高考物理总复习提分策略一临考必记3电场与磁场学案

文库响当当+ 关注
实名认证
内容提供者

该用户很懒,什么也没介绍

确认删除?
VIP
微信客服
  • 扫码咨询
会员Q群
  • 会员专属群点击这里加入QQ群
客服邮箱
回到顶部