电脑桌面
添加小米粒文库到电脑桌面
安装后可以在桌面快捷访问

七下数学计算题100道VIP免费

七下数学计算题100道_第1页
1/5
七下数学计算题100道_第2页
2/5
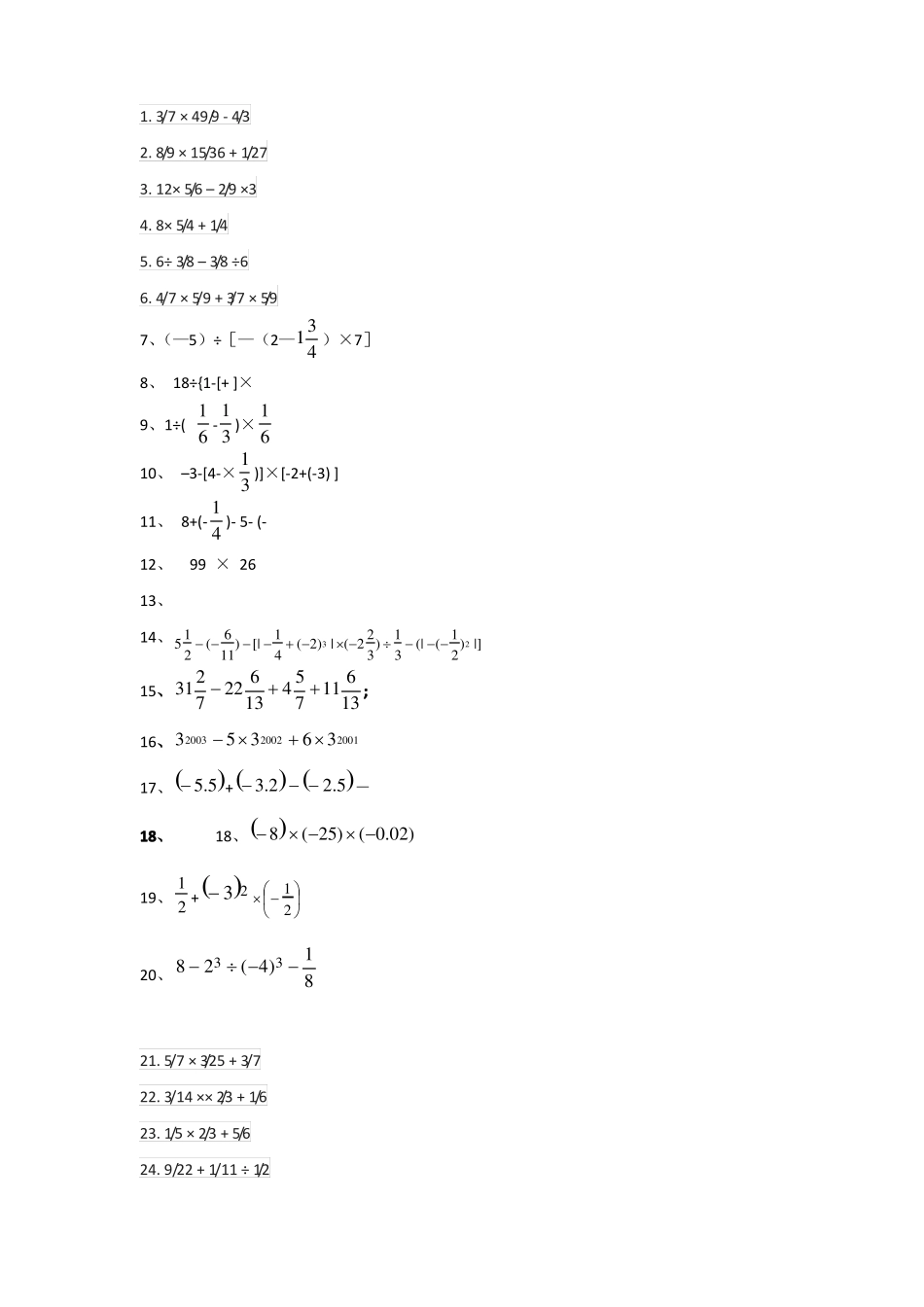
1.3/7×49/9-4/32.8/9×15/36+1/273.12×5/6–2/9×34.8×5/4+1/45.6÷3/8–3/8÷66.4/7×5/9+3/7×5/97、(—5)÷[—(2—18、18÷{1-[+]×3)×7]4111-)×636110、–3-[4-×)]×[-2+(-3)]3111、8+(-)-5-(-49、1÷(12、99×2613、14、51(6)[|1(2)3|(22)1(|(1)2|]211433215、312216、3200327656411;1371353200263200117、5.5+3.22.5-18、18、8(25)(0.02)19、121+3223382(4)20、1821.5/7×3/25+3/722.3/14××2/3+1/623.1/5×2/3+5/624.9/22+1/11÷1/225.5/3×11/5+4/326.45×2/3+1/3×1527.7/19+12/19×5/628.1/4+3/4÷2/329.8/7×21/16+1/230.101×1/5–1/5×21+160÷40(58+370)÷(64-45)÷18+35+45×2-4160÷5234、(35)035、78(85)36、(14)(4)(2)(26)(3)37、(83)(26)(41)(15)38、(1.8)(0.7)(0.9)1.3(0.2)39、1132(3)(4)(6)434340、(14)(15)41、(14)(16)42、(12)(9)43、12(17)44、0(52)45、108(11)46、4.8(2.3)47、2(3)48、[(4)(7)](5)1249、3[(3)12]50、8(910)51、(35)(610)52、01234553、4.25.78.410.254、3011(10)(12)1855、311111(2)()()24346112356、341911257、158、13[26(21)(18)]59、2131()1144260、3(-4)61、2(-6)62、(-6)023()34164、(2)()263、65、65、(4)(0.25)66、(4)(7)(25)43341468、(8)43151569、()(8)20422370、8()(4)()(8)59567、()8()3571、9(11)12(8)72、36(-3)73、(-2)1274、0(-5)75、8(-0.2)76、(-)(-)77、180.67834141179、6(0.25)2421180、()()33281、84(2)82、502()78、()()(2)34121583、178(2)4(3)1)11022185、85、1(0.5)13391286、3502()151287、87、[1(10.5)][2(3)]2528588、(2)()251484、3502(2289、89、4(3)5(3)690、8()5(0.25)214131)(48)64122192、(1)(1)3391、(93、211(919)2414(16)4994、(81)295、1311[(5)]244296、13+(+7)-(-20)-(-40)-(+6)94(24)49152298、()24(33)(63)81297、3499、20(14)(18)13100、8+(―1)―5―(―4

1、当您付费下载文档后,您只拥有了使用权限,并不意味着购买了版权,文档只能用于自身使用,不得用于其他商业用途(如 [转卖]进行直接盈利或[编辑后售卖]进行间接盈利)。
2、本站所有内容均由合作方或网友上传,本站不对文档的完整性、权威性及其观点立场正确性做任何保证或承诺!文档内容仅供研究参考,付费前请自行鉴别。
3、如文档内容存在违规,或者侵犯商业秘密、侵犯著作权等,请点击“违规举报”。

碎片内容

七下数学计算题100道

您可能关注的文档

雪雪文库+ 关注
实名认证
内容提供者

各类文档,专业文档

确认删除?
VIP
微信客服
  • 扫码咨询
会员Q群
  • 会员专属群点击这里加入QQ群
客服邮箱
回到顶部