电脑桌面
添加小米粒文库到电脑桌面
安装后可以在桌面快捷访问

β-二羰基化合物课后答案VIP免费

β-二羰基化合物课后答案_第1页
1/10
β-二羰基化合物课后答案_第2页
2/10
β-二羰基化合物课后答案_第3页
3/10
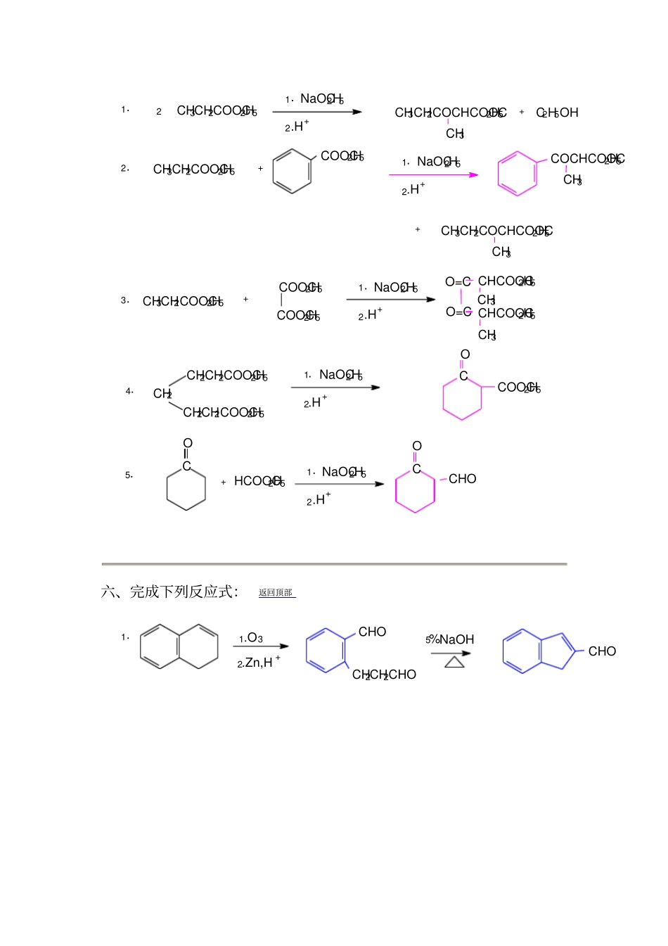
一、命名下列化合物:返回顶部二、二、出下列化合物加热后生成的主要产物:返回顶部1.COCOCOOH2.O=CCH2CH2CH2COOHCH2COOHO=CCH3CH2CH2CH2COOH3.C2H5CH(COOH)2C2H5CH2COOH三、三、试用化学方法区别下列各组化合物:返回顶部解:加溴水:褪色不变2.CH3COCH2COOHHOOCCH2COOH解:分别加入饱和亚硫酸氢钠水溶液,3-丁酮酸生成晶体,而丙二酸不能。四、下列各组化合物,那些是互变异构体,那些是共振杂化体?返回顶部1.COCOOC2H5COOC2H5OH,答:互变异构体答:互变异构五、完成下列缩合反应:返回顶部1.2CH3CH2COOC2H51.NaOC2H52.H+CH3CH2COCHCOOC2H5CH3+C2H5OH2.CH3CH2COOC2H5+COOC2H51.NaOC2H52.H+COCHCOOC2H5CH3CH3CH2COCHCOOC2H5CH3+3.CH3CH2COOC2H5+COOC2H5COOC2H51.NaOC2H52.H+O=CO=CCHCOOC2H5CH3CHCOOC2H5CH34.CH2CH2CH2COOC2H5CH2CH2COOC2H51.NaOC2H52.H+COCOOC2H55.COCO+HCOOC2H51.NaOC2H52.H+CHO六、完成下列反应式:返回顶部1.CHO1.O32.Zn,H+CHOCH2CH2CHO5%NaOHOHC2H5C2H5CCH3COCH2H3O+2.C2H5MgBr1.2OOCH2COOC2H5CCH3HOCH2CH2OH,H+CH3COCH2COOC2H53.CH3CH3COCH2CHCOOC2H5NaOH%5CHCOOC2H5CH3CH3COCHCOOC2H5CH3ClCHCOOC2H5NaCH3COCHCOOC2H5NaOC2H5CH3COCH2COOC2H52.CH3COCH2H+CH2CHCH2CH2CHCH3OHNaBH4COOHCH2CHCH2CH2COCH32.H+,1,NaOH,H2OKOC(CH3)3CH2=CHCOCH3CH2CH(COOC2H5)2NaCH(COOC2H5)2NaOC2H5CH2Cl4.CH2CCH2CH2COCH3COOC2H5COOC2H5COOHO七、写出下列反历程:返回顶部解:C6H5CH2CCH2C6H5O+CH2=CHCOCH3NaOCH3CH3OHC6H5C=OC6H5CH3C6H5CH2CCH2C6H5ONaOCH3C6H5CH2CCHC6H5OCH2=CHCOCH3C6H5CH2CCHC6H5OCH2CH2COCH3NaOCH3C6H5CHCCHC6H5OCH2CH2COCH3C6H5CHCHC6H5COCHOCH3CH2CH2H2OC=OCH3C6H5C6H5八、以甲醇,乙醇为原料,用丙二酸酯法合成下列化合物:返回顶部1,2-甲基丁酸PCl3CH3CH2CH2CH2ClCOOC2H5CHNaCOOC2H5CH3CH2CH2CH2ClCOOC2H5CHCH2CH2CH2CH3COOC2H51.H2O,-OH2.H3O+CH3CH2CH2CH2CH2COOH3,3-甲基己二酸CH3CH2ClMg,(C2H5)2OCH3CH2MgClCH2OH3O+CH3CH2CH2OHH3PO4CH3CH=CH2Br2BrCH3CHCH2Br2C2H5OOCCHCOOC2H5NaBrCH3CHCH2BrCH31.H2O,-OH2.H3O+CH3HOOCCH2CHCH2CH2COOH(C2H5OOCCHCHCH2CH(COOC2H5)24,1,4-环己烷二甲酸九、以甲醇,乙醇于以及无机试剂为原料,经乙酰乙酸乙酯合成下列化合物:返回顶部1,3-乙基-2-戊酮CH3CH2OHPCl3CH3CH2ClCH3COCH2COOC2H5NaOC2H5CH3COCHCOOC2H5NaCH3CH2ClC2H5CH3COCHCOOC2H5NaOC2H5CH3CH2ClCH3COCCOOC2H5CH2CH3CH2CH35%NaOHH3O+CH3COCHCH2CH3CH2CH32.2-甲基丙酸PCl3CH3COCH2COOC2H5NaOC2H5CH3COCHCOOC2H5NaCH3COCHCOOC2H5NaOC2H5CH3COCCOOC2H5NaOHH3O+CH3OHCH3ClCH3ClCH3CH3ClCH3CH340%CH3CHCOOHCH33.γ-戊酮酸CH3COCH2COOC2H5NaOC2H5CH3COCHCOOC2H5NaCH3COCHCOOC2H5NaOHH3O+CH3CH2OH[O]CH3COOHCl2,PClCH2COOHC2H5OH,H+ClCH2COOC2H5ClCH2COOC2H5CH2COOC2H55%CH3COCH2CH2COOH4.2,7-辛二酮CH3COCH2COOC2H5NaOC2H5CH3COCHCOOC2H5NaCH3CH2OHCH2=CH2ClCH2CH2ClCl222ClCH2CH2ClCH3COCHCH2CH2CHCOCH3COOC2H5COOC2H5NaOHH3O+5%CH3COCH2CH2CH2CH2COCH35.甲基环丁基甲酮CH3COCH2COOC2H5NaOC2H5CH3COCHCOOC2H5NaNaOHH3O+5%CH3CH=CH2Cl25000CClCH2CH=CH2HBrROORClCH2CH2CH2BrClCH2CH2CH2BrCH3COCHCOOC2H5CH2CH2CH2ClNaOC2H5CH2CH2CH2ClCH3COCCOOC2H5NaCH3COCCOOC2H5COCH3十、某酮酸经硼氢化钠还原后,依次用溴化氢,碳酸钠和氰化钾处理后,生成腈。腈水解得到2-甲基戊二酸。试推测此酮酸的结构,并写出各步反应式。返回顶部解:CH3COCH2CH2COOHCH3COCH2CH2COOHNaBH4CH3CHCH2CH2COOHOHHBrBrCH3CHCH2CH2COOHNaCNCH3CHCH2CH2COOHCNH2O,H+CH3HOOCCHCH2CH2COOH十一、某酯类化合物A(C5H10O2),用乙醇钠的乙醇溶液处理,得到另一个酯B(C8H14O3),B能使溴水褪色,将B用乙醇钠的乙醇溶液处理后,再与碘乙烷反应,又得到另一个酯C(C10H18O3).C和溴水在室温下不反应。把C用稀碱水解再酸化,加热,即得一个酮D(C7H14O),D不发生碘仿反应。用锌汞齐还原则生成3-甲基己烷,试推测A,B,C,D的结构,并写出各步反应式。解:A,B,C,D的结构及各步反应式如下:返回顶部2CH3CH2COOC2H5NaOC2H5CH3CH2COCHCOOC2H5CH3CH3CH2C=CCOOC2H5OHCH3Br2CH3CH2COHCCOOC2H5CH3BrBrCH3CH2COCHCOOC2H5CH31,NaOC2H52,C2H5ICH3CH2COCCOOC2H5CH3CH2CH31,5%NaOHaq2,H3O+CH3CH2COCHCH2CH3CH3ZnHg/HClCH3CH3CH2CH2CHCH2CH3(A)(B)(C)(D)CH3CH2COOC2H5(A):CH3CH2COCHCOOC2H5CH3(B):CH3CH2COCCOOC2H5CH3CH2CH3(C):CH3CH2COCHCH2CH3CH3(D):

1、当您付费下载文档后,您只拥有了使用权限,并不意味着购买了版权,文档只能用于自身使用,不得用于其他商业用途(如 [转卖]进行直接盈利或[编辑后售卖]进行间接盈利)。
2、本站所有内容均由合作方或网友上传,本站不对文档的完整性、权威性及其观点立场正确性做任何保证或承诺!文档内容仅供研究参考,付费前请自行鉴别。
3、如文档内容存在违规,或者侵犯商业秘密、侵犯著作权等,请点击“违规举报”。

碎片内容

β-二羰基化合物课后答案

您可能关注的文档

确认删除?
VIP
微信客服
  • 扫码咨询
会员Q群
  • 会员专属群点击这里加入QQ群
客服邮箱
回到顶部