电脑桌面
添加小米粒文库到电脑桌面
安装后可以在桌面快捷访问

高考数学 第29课时—三角函数的图象教案VIP免费

高考数学 第29课时—三角函数的图象教案_第1页
1/3
高考数学 第29课时—三角函数的图象教案_第2页
2/3
高考数学 第29课时—三角函数的图象教案_第3页
3/3
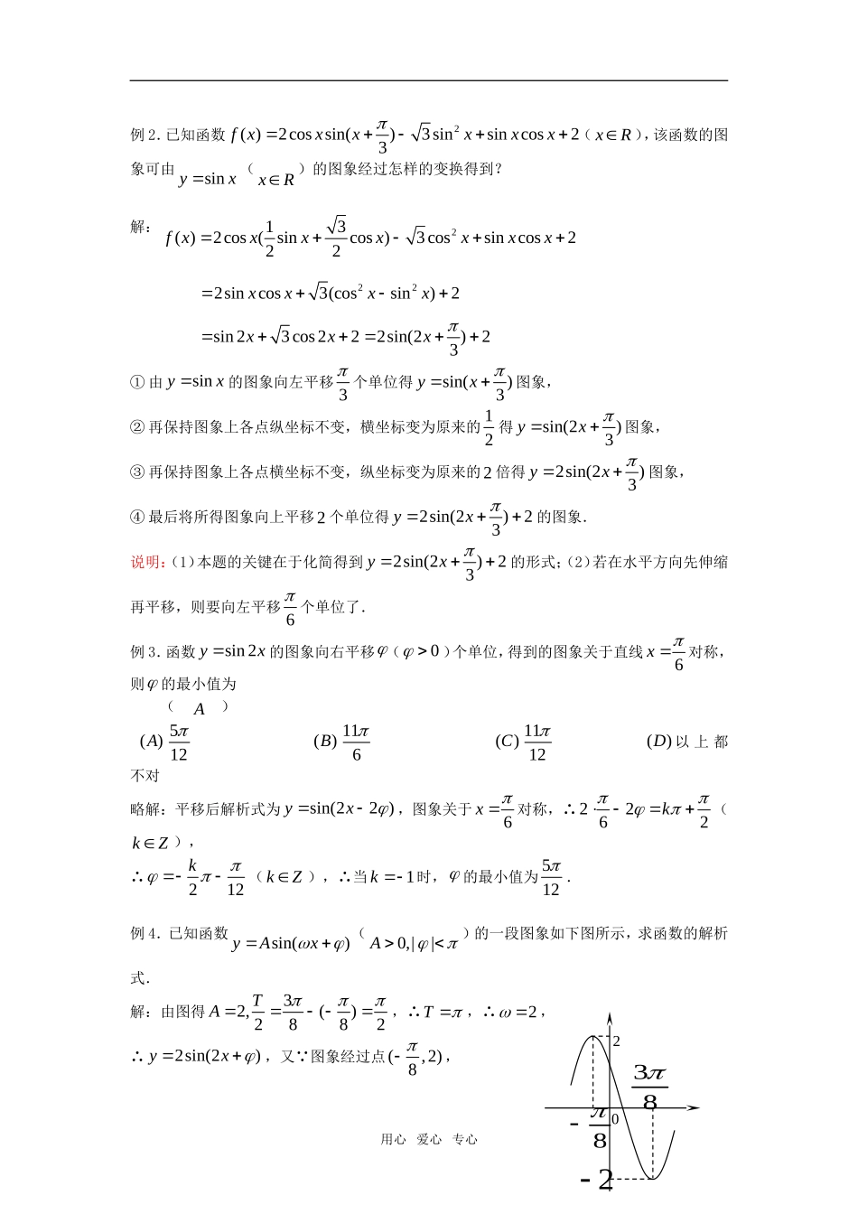
三角函数的图象二.教学目标:了解正弦、余弦、正切、余切函数的图象的画法,会用“五点法”画正弦、余弦函数和函数sin()yAx的简图,理解,,A的物理意义,掌握由函数sinyx的图象到函数sin()yAx的图象的变换原理.三.教学重点:函数sinyx的图象到函数sin()yAx的图象的变换方法.四.教学过程:(一)主要知识:1.三角函数线:正弦线、余弦线、正切线的作法;2.函数sinyx的图象到函数sin()yAx的图象的两种主要途径.(二)主要方法:1.“五点法”画正弦、余弦函数和函数sin()yAx的简图,五个特殊点通常都是取三个平衡点,一个最高、一个最低点;2.给出图象求sin()yAxB的解析式的难点在于,的确定,本质为待定系数法,基本方法是:①寻找特殊点(平衡点、最值点)代入解析式;②图象变换法,即考察已知图象可由哪个函数的图象经过变换得到的,通常可由平衡点或最值点确定周期T,进而确定.(三)例题分析:例1.(1)将函数5sin(3)yx的周期扩大到原来的2倍,再将函数图象左移3,得到图象对应解析式是(A)()A335sin()22xy()B735sin()102xy()C5sin(6)6yx()D35cos2xy(2)若函数()fx图象上每一个点的纵坐标保持不变,横坐标伸长到原来的两倍,然后再将整个图象沿x轴向右平移2个单位,向下平移3个单位,恰好得到1sin2yx的图象,则()fx11sin(2)3cos23222xx.(3)先将函数sin2yx的图象向右平移3个单位长度,再将所得图象作关于y轴的对称变换,则所得函数图象对应解析式为2sin(2)3yx.用心爱心专心例2.已知函数2()2cossin()3sinsincos23fxxxxxx(xR),该函数的图象可由sinyx(xR)的图象经过怎样的变换得到?解:213()2cos(sincos)3cossincos222fxxxxxxx222sincos3(cossin)2xxxxsin23cos222sin(2)23xxx①由sinyx的图象向左平移3个单位得sin()3yx图象,②再保持图象上各点纵坐标不变,横坐标变为原来的12得sin(2)3yx图象,③再保持图象上各点横坐标不变,纵坐标变为原来的2倍得2sin(2)3yx图象,④最后将所得图象向上平移2个单位得2sin(2)23yx的图象.说明:(1)本题的关键在于化简得到2sin(2)23yx的形式;(2)若在水平方向先伸缩再平移,则要向左平移6个单位了.例3.函数sin2yx的图象向右平移(0)个单位,得到的图象关于直线6x对称,则的最小值为(A)()A512()B116()C1112()D以上都不对略解:平移后解析式为sin(22)yx,图象关于6x对称,∴2262k(kZ),∴212k(kZ),∴当1k时,的最小值为512.例4.已知函数sin()yAx(0,||A)的一段图象如下图所示,求函数的解析式.解:由图得32,()2882TA,∴T,∴2,∴2sin(2)yx,又∵图象经过点(,2)8,用心爱心专心388220∴22sin()4,∴242k(kZ),∴324k,∴函数解析式为32sin(2)4yx.(四)巩固练习:1.如果函数sin2cos2yxax的图象关于直线8x对称,则a1;2.若函数()sin()fxAx(0,0,02A)的最小值为2,周期为23,且它的图象过点(0,2),求此函数解析式.(52sin(3)4yx或72sin(3)4yx)五.课后作业:《高考A计划》考点29,智能训练8,9,11,12,14.用心爱心专心

1、当您付费下载文档后,您只拥有了使用权限,并不意味着购买了版权,文档只能用于自身使用,不得用于其他商业用途(如 [转卖]进行直接盈利或[编辑后售卖]进行间接盈利)。
2、本站所有内容均由合作方或网友上传,本站不对文档的完整性、权威性及其观点立场正确性做任何保证或承诺!文档内容仅供研究参考,付费前请自行鉴别。
3、如文档内容存在违规,或者侵犯商业秘密、侵犯著作权等,请点击“违规举报”。

碎片内容

高考数学 第29课时—三角函数的图象教案

您可能关注的文档

雨丝书吧+ 关注
实名认证
内容提供者

乐于和他人分享知识,从事历史教学,热爱教育,高度负责。

确认删除?
VIP
微信客服
  • 扫码咨询
会员Q群
  • 会员专属群点击这里加入QQ群
客服邮箱
回到顶部