电脑桌面
添加小米粒文库到电脑桌面
安装后可以在桌面快捷访问

高中数学笔记-3-三角函数VIP免费

高中数学笔记-3-三角函数_第1页
1/8
高中数学笔记-3-三角函数_第2页
2/8
高中数学笔记-3-三角函数_第3页
3/8
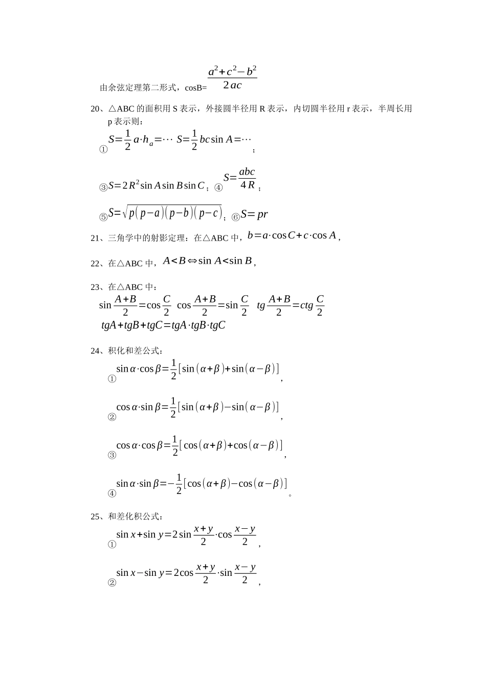
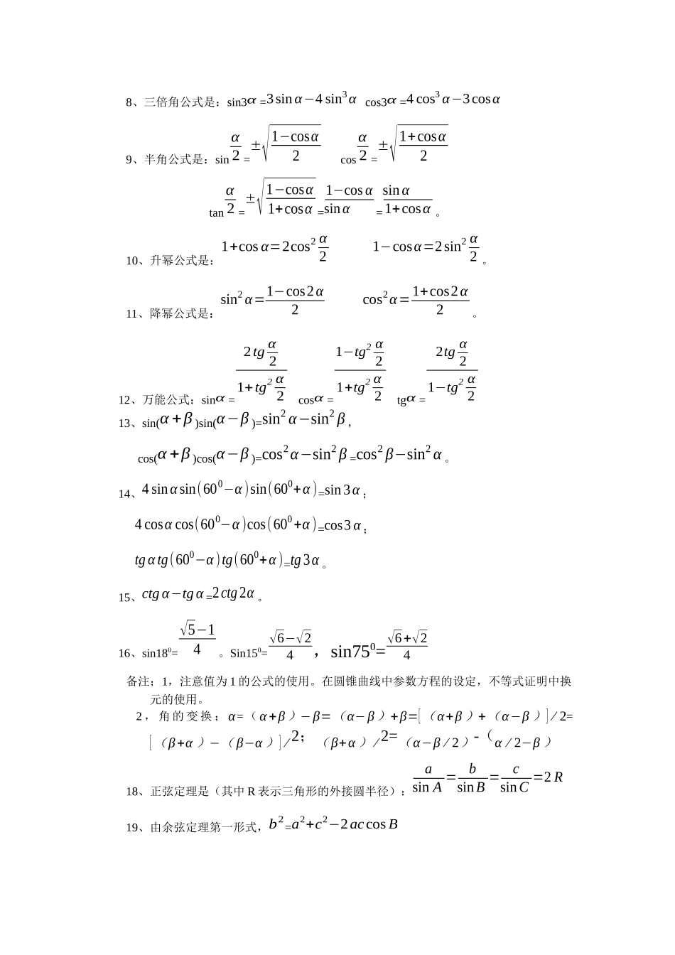
高中数学笔记(3)-----------------三角函数基本概念:1、诱导公式:奇变偶不变,符号看象限。。2,函数y=Asin(ωx+ϕ)+B(其中A>0,ω>0)的最大值是A+B,最小值是B−A,周期是T=2πω,频率是f=ω2π,相位是ωx+ϕ,初相是ϕ;其图象的对称轴是直线ωx+ϕ=kπ+π2(k∈Z),凡是该图象与直线y=B的交点都是该图象的对称中心。(若未告知ω>0,则要讨论)3,三角函数的单调区间:y=sinx的递增区间是[2kπ−π2,2kπ+π2](k∈Z),递减区间是[2kπ+π2,2kπ+3π2](k∈Z);y=cosx的递增区间是[2kπ−π,2kπ](k∈Z),递减区间是[2kπ,2kπ+π](k∈Z),y=tgx的递增区间是(kπ−π2,kπ+π2)(k∈Z),y=ctgx的递减区间是(kπ,kπ+π)(k∈Z)。4、sin(α±β)=sinαcosβ±cosαsinβcos(α±β)=cosαcosβ∓sinαsinβtg(α±β)=tgα±tgβ1∓tgα⋅tgβ5、二倍角公式是:sin2α=2sinα⋅cosαcos2α=cos2α−sin2α=2cos2α−1=1−2sin2αtan2α=2tgα1−tg2α。8、三倍角公式是:sin3α=3sinα−4sin3αcos3α=4cos3α−3cosα9、半角公式是:sinα2=±√1−cosα2cosα2=±√1+cosα2tanα2=±√1−cosα1+cosα=1−cosαsinα=sinα1+cosα。10、升幂公式是:1+cosα=2cos2α21−cosα=2sin2α2。11、降幂公式是:sin2α=1−cos2α2cos2α=1+cos2α2。12、万能公式:sinα=2tgα21+tg2α2cosα=1−tg2α21+tg2α2tgα=2tgα21−tg2α213、sin(α+β)sin(α−β)=sin2α−sin2β,cos(α+β)cos(α−β)=cos2α−sin2β=cos2β−sin2α。14、4sinαsin(600−α)sin(600+α)=sin3α;4cosαcos(600−α)cos(600+α)=cos3α;tgαtg(600−α)tg(600+α)=tg3α。15、ctgα−tgα=2ctg2α。16、sin180=√5−14。Sin150=√6−√24,sin750=√6+√24备注;1,注意值为1的公式的使用。在圆锥曲线中参数方程的设定,不等式证明中换元的使用。2,角的变换;α=(α+β)−β=(α−β)+β=[(α+β)+(α−β)]∕2=[(β+α)−(β−α)]∕2;(β+α)∕2=(α−β∕2)-(α∕2−β)18、正弦定理是(其中R表示三角形的外接圆半径):asinA=bsinB=csinC=2R19、由余弦定理第一形式,b2=a2+c2−2accosB由余弦定理第二形式,cosB=a2+c2−b22ac20、△ABC的面积用S表示,外接圆半径用R表示,内切圆半径用r表示,半周长用p表示则:①S=12a⋅ha=⋯S=12bcsinA=⋯;③S=2R2sinAsinBsinC;④S=abc4R;⑤S=√p(p−a)(p−b)(p−c);⑥S=pr21、三角学中的射影定理:在△ABC中,b=a⋅cosC+c⋅cosA,22、在△ABC中,A1时,sinx=a的解集为φ;|a|≤1时,sinx=a的解集为{x|x=nπ+(−1)n⋅arcsina,n∈Z}|a|>1时,cosx=a的解集为φ;|a|≤1时,cosx=a的解集为{x|x=2nπ±arccosa,n∈Z};a∈R,方程tgx=a的解集为{x|x=nπ+arctga,n∈Z};a∈R,方程ctgx=a的解集为{x|x=...

1、当您付费下载文档后,您只拥有了使用权限,并不意味着购买了版权,文档只能用于自身使用,不得用于其他商业用途(如 [转卖]进行直接盈利或[编辑后售卖]进行间接盈利)。
2、本站所有内容均由合作方或网友上传,本站不对文档的完整性、权威性及其观点立场正确性做任何保证或承诺!文档内容仅供研究参考,付费前请自行鉴别。
3、如文档内容存在违规,或者侵犯商业秘密、侵犯著作权等,请点击“违规举报”。

碎片内容

高中数学笔记-3-三角函数

您可能关注的文档

确认删除?
VIP
微信客服
  • 扫码咨询
会员Q群
  • 会员专属群点击这里加入QQ群
客服邮箱
回到顶部