电脑桌面
添加小米粒文库到电脑桌面
安装后可以在桌面快捷访问

高中数学复习专题:基本初等函数VIP免费

高中数学复习专题:基本初等函数_第1页
1/2
高中数学复习专题:基本初等函数_第2页
2/2
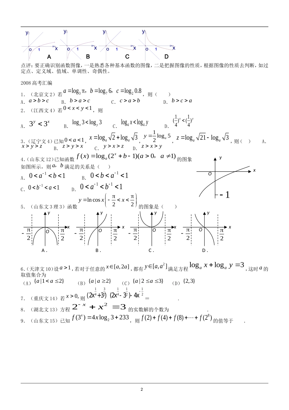
高三数学(文)复习(讲座3)—基本初等函数一.命题走向指数函数、对数函数、幂函数是三类常见的重要函数,在历年的高考题中都占据着重要的地位。从近几年的高考形势来看,对指数函数、对数函数、幂函数的考查,大多以基本函数的性质为依托,结合运算推理,能运用它们的性质解决具体问题。为此,我们要熟练掌握指数、对数运算法则,明确算理,能对常见的指数型函数、对数型函数进行变形处理。预测2009年对本节的考察是:1.题型有两个选择题和一个解答题;2.题目形式多以指数函数、对数函数、幂函数为载体的复合函数来考察函数的性质。同时它们与其它知识点交汇命题,则难度会加大。三.要点精讲1.指数与对数运算(1)根式的概念:(2).幂的有关概念(3).对数的概念②基本性质:-③运算性质:2.指数函数与对数函数图像和性质四.典例解析题型1:指数运算例1.已知11223xx,求22332223xxxx的值。题型2:对数运算例2.计算(1)2(lg2)lg2lg50lg25;(结果是2)例3.设关于x的方程1420()xxbbR,若方程有实数解,求实数b的取值范围;题型3:指对方程例4.(2006辽宁文13)方程22log(1)2log(1)xx的解为。(结果为5)题型4:指数函数的概念与性质例5.设1232,2()((2))log(1)2.xexfxffxx<,则的值为,()A.0B.1C.2D.3题型5:指数函数的图像与应用例6.若函数myx|1|)21(的图象与x轴有公共点,则m的取值范围是()A.m≤-1B.-1≤m<0C.m≥1D.01时,函数y=logax和y=(1-a)x的图象只可能是(1A1oyxB1oyxC1oyxD1oyx点评:要正确识别函数图像,一是熟悉各种基本函数的图像,二是把握图像的性质,根据图像的性质去判断,如过定点、定义域、值域、单调性、奇偶性。2008高考汇编1.(北京文2)若372logπlog6log0.8abc,,,则()A.abcB.bacC.cabD.bca2.(江西文4)若01xy,则A.33yxB.log3log3xyC.44loglogxyD.11()()44xy3.(辽宁文4)已知01a,log2log3aax,1log52ay,log21log3aaz,则()A.xyzB.zyxC.yxzD.zxy4.(山东文12)已知函数()log(21)(01)xafxbaa,的图象如图所示,则ab,满足的关系是()A.101abB.101baC.101baD.1101ab5.(山东文3理3)函数ππlncos22yxx的图象是()6.(天津文10)设1a,若对于任意的[,2]xaa,都有2[,]yaa满足方程loglog3aaxy,这时a的取值集合为(A)2{|1}aa(B){|}2aa(C)3|}2{aa(D){2,3}7.(重庆文14)若0,x则1311142422-(2x+3)(2x-3)-4x=.8.(湖北文13)方程223xx的实数解的个数为.9.(山东文15)已知2(3)4log3233xfx,则8(2)(4)(8)(2)ffff的值等于.yxπ2π2Oyxπ2π2Oyxπ2π2Oyxπ2π2OA.B.C.D.21Oyx

1、当您付费下载文档后,您只拥有了使用权限,并不意味着购买了版权,文档只能用于自身使用,不得用于其他商业用途(如 [转卖]进行直接盈利或[编辑后售卖]进行间接盈利)。
2、本站所有内容均由合作方或网友上传,本站不对文档的完整性、权威性及其观点立场正确性做任何保证或承诺!文档内容仅供研究参考,付费前请自行鉴别。
3、如文档内容存在违规,或者侵犯商业秘密、侵犯著作权等,请点击“违规举报”。

碎片内容

高中数学复习专题:基本初等函数

您可能关注的文档

确认删除?
VIP
微信客服
  • 扫码咨询
会员Q群
  • 会员专属群点击这里加入QQ群
客服邮箱
回到顶部