电脑桌面
添加小米粒文库到电脑桌面
安装后可以在桌面快捷访问

六年级解方程练习题VIP免费

六年级解方程练习题_第1页
1/2
六年级解方程练习题_第2页
2/2
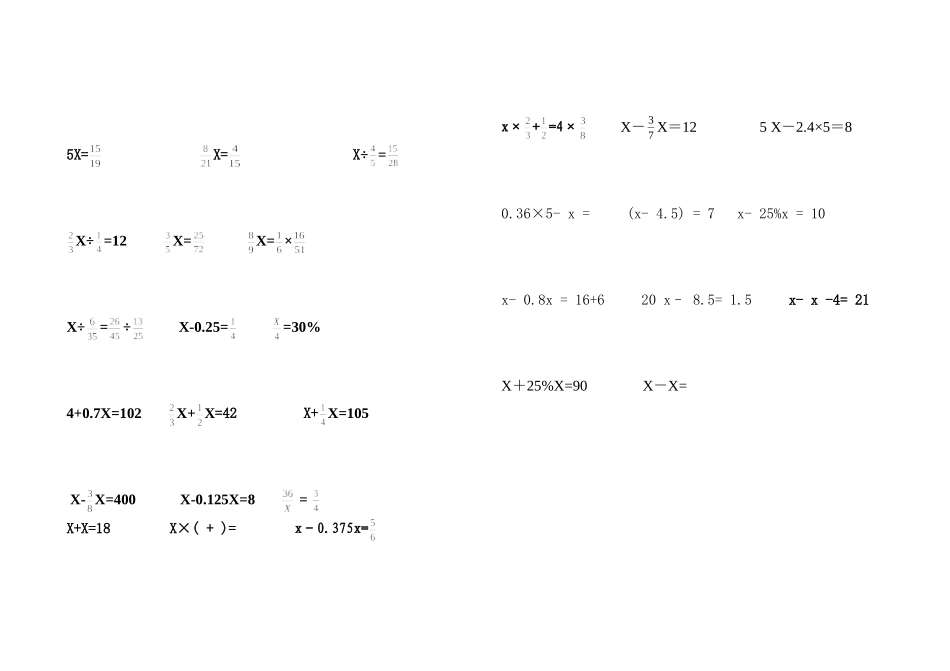
六年级解方程练习题X-X=2X+=70%X+20%X=3.6X×=20×25%+10X=X-15%X=68X+X=1215X-3×=X÷=126X+5=13.43X=X÷=X+X=4X-6×=2÷X=X=X=×X÷=×4x-3×9=29x+x=4X-21×=46X+5=13.4X-X=4χ-6=385X=X=X÷=X÷=12X=X=×X÷=÷X-0.25==30%4+0.7X=102X+X=42X+X=105X-X=400X-0.125X=8=X+X=18X×(+)=x-0.375x=x×+=4×X-73X=125X-2.4×5=80.36×5-x=(x-4.5)=7x-25%x=10x-0.8x=16+620x–8.5=1.5x-x-4=21X+25%X=90X-X=

1、当您付费下载文档后,您只拥有了使用权限,并不意味着购买了版权,文档只能用于自身使用,不得用于其他商业用途(如 [转卖]进行直接盈利或[编辑后售卖]进行间接盈利)。
2、本站所有内容均由合作方或网友上传,本站不对文档的完整性、权威性及其观点立场正确性做任何保证或承诺!文档内容仅供研究参考,付费前请自行鉴别。
3、如文档内容存在违规,或者侵犯商业秘密、侵犯著作权等,请点击“违规举报”。

碎片内容

六年级解方程练习题

您可能关注的文档

确认删除?
VIP
微信客服
  • 扫码咨询
会员Q群
  • 会员专属群点击这里加入QQ群
客服邮箱
回到顶部