电脑桌面
添加小米粒文库到电脑桌面
安装后可以在桌面快捷访问

【精品】高考数学一轮复习必备 第15课时:第二章 函数-指数式与对数式教案VIP免费

【精品】高考数学一轮复习必备 第15课时:第二章 函数-指数式与对数式教案_第1页
1/3
【精品】高考数学一轮复习必备 第15课时:第二章 函数-指数式与对数式教案_第2页
2/3
【精品】高考数学一轮复习必备 第15课时:第二章 函数-指数式与对数式教案_第3页
3/3
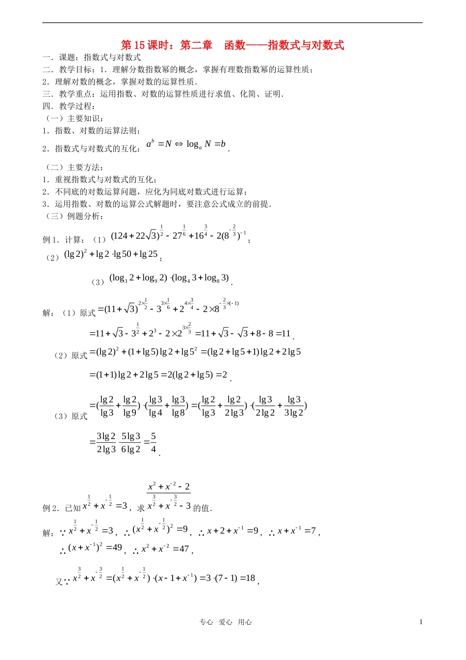
第15课时:第二章函数——指数式与对数式一.课题:指数式与对数式二.教学目标:1.理解分数指数幂的概念,掌握有理数指数幂的运算性质;2.理解对数的概念,掌握对数的运算性质.三.教学重点:运用指数、对数的运算性质进行求值、化简、证明.四.教学过程:(一)主要知识:1.指数、对数的运算法则;2.指数式与对数式的互化:logbaaNNb.(二)主要方法:1.重视指数式与对数式的互化;2.不同底的对数运算问题,应化为同底对数式进行运算;3.运用指数、对数的运算公式解题时,要注意公式成立的前提.(三)例题分析:例1.计算:(1)121316324(124223)27162(8);(2)2(lg2)lg2lg50lg25;(3)3948(log2log2)(log3log3).解:(1)原式12133(1)246324(113)3228213332113322211338811.(2)原式22(lg2)(1lg5)lg2lg5(lg2lg51)lg22lg5(11)lg22lg52(lg2lg5)2.(3)原式lg2lg2lg3lg3lg2lg2lg3lg3()()()()lg3lg9lg4lg8lg32lg32lg23lg23lg25lg352lg36lg24.例2.已知11223xx,求22332223xxxx的值.解:∵11223xx,∴11222()9xx,∴129xx,∴17xx,∴12()49xx,∴2247xx,又∵331112222()(1)3(71)18xxxxxx,专心爱心用心1∴223322247231833xxxx.例3.已知35abc,且112ab,求c的值.解:由3ac得:log31ac,即log31ca,∴1log3ca;同理可得1log5cb,∴由112ab得log3log52cc,∴log152c,∴215c,∵0c,∴15c.例4.设1x,1y,且2log2log30xyyx,求224Txy的最小值.解:令logxty,∵1x,1y,∴0t.由2log2log30xyyx得2230tt,∴22320tt,∴(21)(2)0tt,∵0t,∴12t,即1log2xy,∴12yx,∴222244(2)4Txyxxx,∵1x,∴当2x时,min4T.例5.设a、b、c为正数,且满足222abc.(1)求证:22log(1)log(1)1bcacab(2)若4log(1)1bca,82log()3abc,求a、b、c的值.证明:(1)左边222logloglog()abcabcabcabcabab22222222222()22loglogloglog21abcaabbcabccababab;专心爱心用心2解:(2)由4log(1)1bca得14bca,∴30abc……………①由82log()3abc得2384abc………………………②由①②得2ba……………………………………………③由①得3cab,代入222abc得2(43)0aab,∵0a,∴430ab……………………………………………………④由③、④解得6a,8b,从而10c.(四)巩固练习:1.若233()()2ababb,则a与b的大小关系为;2.若2lglglg2xyxy,求xy的值.五.课后作业:《高考A计划》考点14,智能训练4,6,10,13,14,15专心爱心用心3

1、当您付费下载文档后,您只拥有了使用权限,并不意味着购买了版权,文档只能用于自身使用,不得用于其他商业用途(如 [转卖]进行直接盈利或[编辑后售卖]进行间接盈利)。
2、本站所有内容均由合作方或网友上传,本站不对文档的完整性、权威性及其观点立场正确性做任何保证或承诺!文档内容仅供研究参考,付费前请自行鉴别。
3、如文档内容存在违规,或者侵犯商业秘密、侵犯著作权等,请点击“违规举报”。

碎片内容

【精品】高考数学一轮复习必备 第15课时:第二章 函数-指数式与对数式教案

您可能关注的文档

雨丝书吧+ 关注
实名认证
内容提供者

乐于和他人分享知识,从事历史教学,热爱教育,高度负责。

相关文档

确认删除?
VIP
微信客服
  • 扫码咨询
会员Q群
  • 会员专属群点击这里加入QQ群
客服邮箱
回到顶部