电脑桌面
添加小米粒文库到电脑桌面
安装后可以在桌面快捷访问

江苏省2010届高三数学考前专练(10)新人教版VIP免费

江苏省2010届高三数学考前专练(10)新人教版_第1页
1/3
江苏省2010届高三数学考前专练(10)新人教版_第2页
2/3
江苏省2010届高三数学考前专练(10)新人教版_第3页
3/3
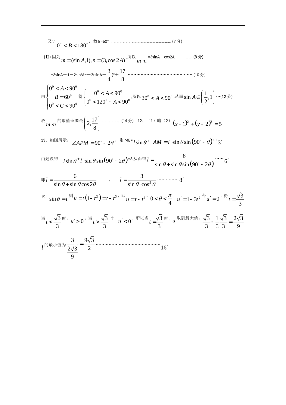
江苏省2010届高三数学考前专练(10)1、已知集合(1)0Pxxx≥,Q)1ln(|xyx,则PQ=.2、在等比数列{na}中,若7944,1aaa,则12a的值是.3、若关于x的不等式2260axxa的解集为(1,m),则实数m=.4、已知点3,1和4,6在直线320xya的两侧,则a的取值范围是5、若0,0yx,且191yx,求yx的最小值为.6、已知直线0CByAx(其中0,222CCBA)与圆422yx交于NM,,O是坐标原点,则OM·ON=_________________.7、如果实数.xy满足不等式组22110,220xxyxyxy则的最小值是8△ABC内接于以O为圆心的圆,且3450OAOBOC�.则C9、已知576*,)}({SSSnNnadSnn且项和的前的等差数列是公差为,则下列四个命题:①0d;②011S;③012S;④013S中为真命题的序号为.10、已知集合0822xxxA,RmmmxmxxB,03)32(22(1)若]4,2[BA,求实数m的值;(2)设全集为R,若BCAR,求实数m的取值范围。11、在锐角△ABC中,角A、B、C的对边分别为a、b、c,且满足(2)coscosacBbC.(Ⅰ)求角B的大小;(Ⅱ)设(sin,1),(3,cos2)mAnA�,试求mn�的取值范围.12、已知以点)0,)(2,(tRtttC为圆心的圆与x轴交于点AO,,与y轴交于点O、B,其中O为原点。(1)求证:OAB的面积为定值;(2)设直线42xy与圆C交于点NM,,若ONOM,求圆C的方程。*13、已知矩形纸片ABCD中,AB=6cm,AD=12cm,将矩形纸片的右下角折起,使该角的顶点B落在矩形的边AD上,且折痕MN的两端点,M、N分别位于边AB、BC上,设,MNBMNl。(ⅰ)试将l表示成的函数;(ⅱ)求l的最小值。参考答案1.1/xx.2.4.3.2.4.247a5.16.6.-2.7.58.439.①②10、(Ⅰ)∵]4,2[A,],3[mmB]4,2[BA,∴423mm∴5m(Ⅱ)},3{mxmxxBCR或∵BAR∴43,2mm或,∴27mm或11、解:()Ⅰ因为(2a-c)cosB=bcosC,所以(2sinA-sinC)cosB=sinBcosC,………(3分)即2sinAcosB=sinCcosB+sinBcosC=sin(C+B)=sinA.而sinA>0,所以cosB=12……(6分)ABCDMN又∵1800B,故B=60°………………………………………………………(7分)()Ⅱ因为(sin,1),(3,cos2)mAnA�,所以mn�=3sinA+cos2A………………(8分)=3sinA+1-2sin2A=-2(sinA-34)2+178………………………………………(10分)由0000009060090ABC得00000090012090AA,所以003090A,从而1sin,12A…(12分)故mn�的取值范围是172,8.………………(14分)12、(1)略(2)52122yx13、如图所示,902APM,则MB=sinl,sinsin90AMl…3由题设得:sinl+sinsin902l=6从而得6sinsinsin902l……6即6sinsincos2l,23sincosl……………8设:sint则231utttt,即3utt,04,213ut令0u,得33t当33t时,0u,当33t时,0u,所以当33t时,u取到最大值:313233339l的最小值为3932239………………………………………16

1、当您付费下载文档后,您只拥有了使用权限,并不意味着购买了版权,文档只能用于自身使用,不得用于其他商业用途(如 [转卖]进行直接盈利或[编辑后售卖]进行间接盈利)。
2、本站所有内容均由合作方或网友上传,本站不对文档的完整性、权威性及其观点立场正确性做任何保证或承诺!文档内容仅供研究参考,付费前请自行鉴别。
3、如文档内容存在违规,或者侵犯商业秘密、侵犯著作权等,请点击“违规举报”。

碎片内容

江苏省2010届高三数学考前专练(10)新人教版

您可能关注的文档

教育精品店+ 关注
实名认证
内容提供者

优良的服务

确认删除?
VIP
微信客服
  • 扫码咨询
会员Q群
  • 会员专属群点击这里加入QQ群
客服邮箱
回到顶部