电脑桌面
添加小米粒文库到电脑桌面
安装后可以在桌面快捷访问

整式的加减—计算题50道VIP免费

整式的加减—计算题50道_第1页
1/4
整式的加减—计算题50道_第2页
2/4
整式的加减—计算题50道_第3页
3/4
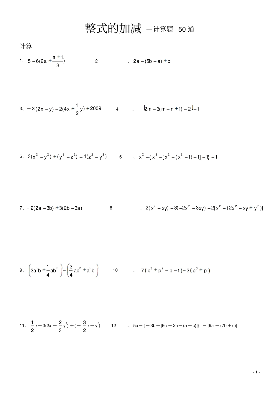
-1-整式的加减—计算题50道计算1、)312(65aa2、baba)5(23、-32009)214(2)2(yxyx4、-12)1(32nmm5、)(4)()(3222222yzzyyx6、1}1]1)1([{2222xxxx7、-)32(3)32(2abba8、)]2([2)32(3)(222222yxyxxxyxxyx9、222213344abababab10、323712ppppp11、21x-3(2x-32y2)+(-23x+y2)12、5a-{-3b+[6c-2a-(a-c)]}-[9a-(7b+c)]-2-13、2237(43)2xxxx14、-22225(3)2(7)abababab15、2(-a3+2a2)-(4a2-3a+1)16、(4a2-3a+1)-3(-a3+2a2).17、3(a2-4a+3)-5(5a2-a+2)18、3x2-[5x-2(14x-32)+2x2]19、7a+(a2-2a)-5(a-2a2)20、-3(2a+3b)-31(6a-12b)21、222226284526xyxyxyxxyyxxy22、3(2)(3)3abaabab;23、22112()822aabaabab;24、(a3-2a2+1)-2(3a2-2a+21)-3-25、x-2(1-2x+x2)+3(-2+3x-x2)26、)24()215(2222abbaabba27、-4)142()346(22mmmm28、)5(3)8(2222xyyxyxxy29、)312(65aa30、-12)1(32nmm31、)(4)6()4(3222222yzzyyx32、1}1]1)1(53[{22222xxxx33、3(-ab+2a)-(3a-b)+3ab34、2a2-[12(ab-a2)+8ab]-12ab35、2213[5(3)2]42aaaa36、4yx2-3[6xy-2(4xy-2)-yx2]+5-4-37、—2a2-[3a-(21a-3)+a2]+538、3x2-[7x2-2(x2-3x)-2x]39、)4()9(6101212nnnnnnxxxxxx40、baabbaababba222222]23)35(54[341、7xy+xy3+4+6x-25xy3-5xy-342、-2(4a-3b)+3(5b-3a)43、—12a2b-5ac-(-3a2c-a2b)+(3ac-4a2c)44、2(-3x2-xy)-3(-2x2+3xy)-4[x2-(2x2-xy+y2)]45、-2(3a2-4)+(a2-3a)-(2a2-5a+5)46、52a-〔2a+(32a-2a)-2(52a-2a)〕47、-5xy2-4[3xy2-(4xy2-2x2y)]+2x2y-xy48、),23()2(342222caacbacaacba49、(2)()xyyyyx50、2233233414213bbababbabababa23341322b

1、当您付费下载文档后,您只拥有了使用权限,并不意味着购买了版权,文档只能用于自身使用,不得用于其他商业用途(如 [转卖]进行直接盈利或[编辑后售卖]进行间接盈利)。
2、本站所有内容均由合作方或网友上传,本站不对文档的完整性、权威性及其观点立场正确性做任何保证或承诺!文档内容仅供研究参考,付费前请自行鉴别。
3、如文档内容存在违规,或者侵犯商业秘密、侵犯著作权等,请点击“违规举报”。

碎片内容

整式的加减—计算题50道

您可能关注的文档

爱的疯狂+ 关注
实名认证
内容提供者

该用户很懒,什么也没介绍

相关文档

确认删除?
VIP
微信客服
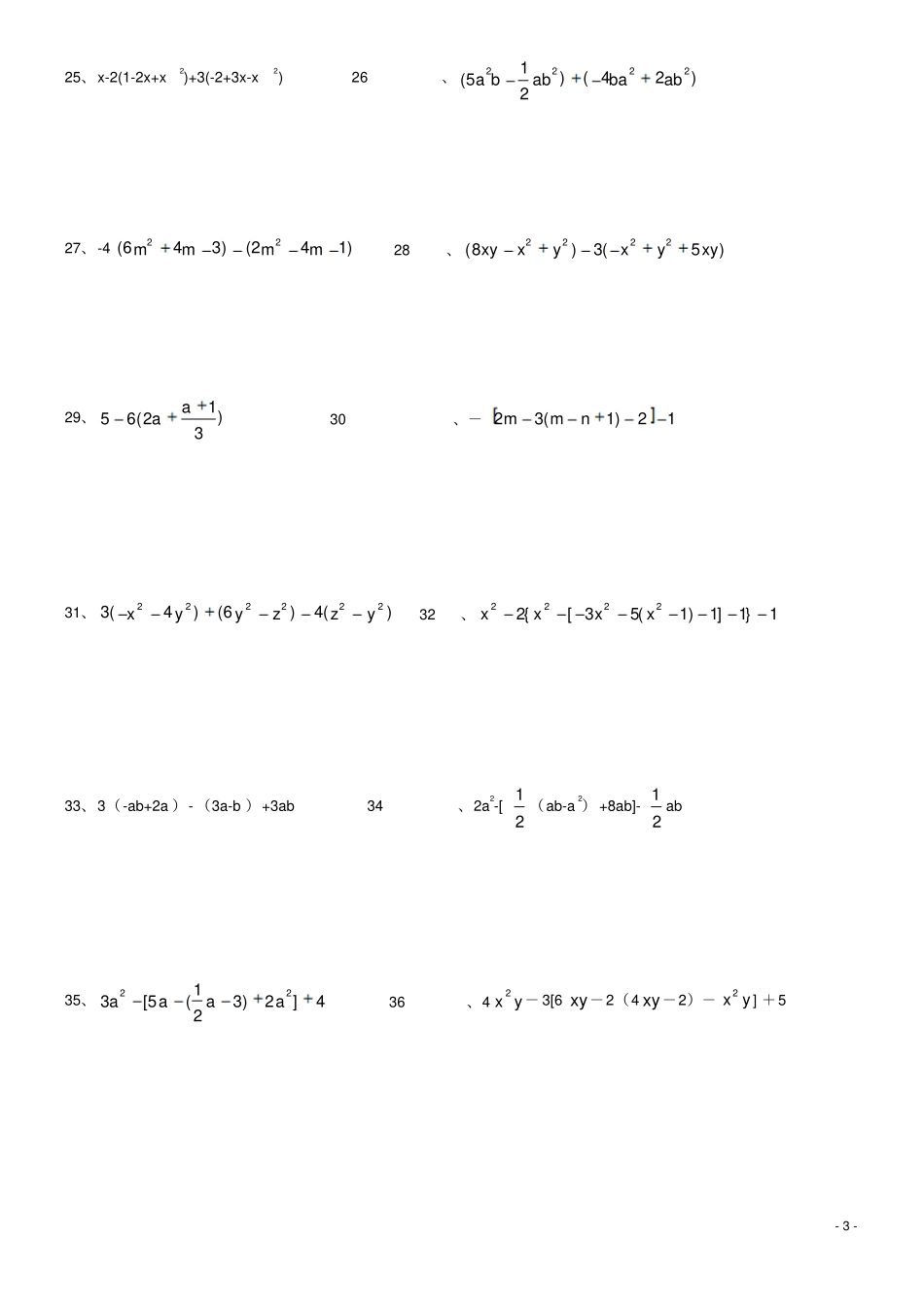
  • 扫码咨询
会员Q群
  • 会员专属群点击这里加入QQ群
客服邮箱
回到顶部