电脑桌面
添加小米粒文库到电脑桌面
安装后可以在桌面快捷访问

对数指数运算VIP免费

对数指数运算_第1页
1/2
对数指数运算_第2页
2/2
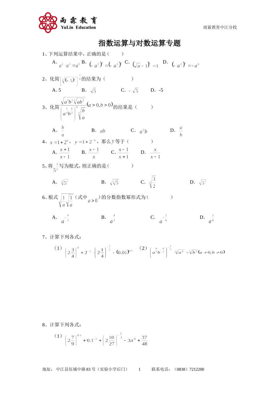
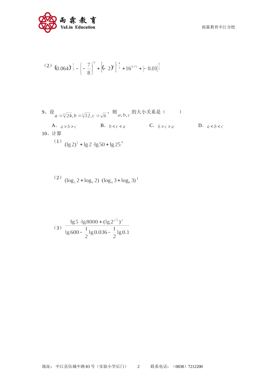
雨霖教育中江分校指数运算与对数运算专题1、下列运算结果中,正确的是()A.B.C.D.2、化简的结果为()A.5B.C.D.-53、化简的结果是()A.B.C.D.4、,,那么等于()A.B.C.D.5、将写为根式,则正确的是()A.B.C.D.6、根式(式中)的分数指数幂形式为()A.B.C.D.7、计算下列各式:(1)(2)8、计算下列各式:(1)地址:中江县伍城中路83号(实验小学后门)联系电话:(0838)72122001雨霖教育中江分校(2)9、设,则的大小关系是()A.B.C.D.10、计算(1);(2);(3)地址:中江县伍城中路83号(实验小学后门)联系电话:(0838)72122002

1、当您付费下载文档后,您只拥有了使用权限,并不意味着购买了版权,文档只能用于自身使用,不得用于其他商业用途(如 [转卖]进行直接盈利或[编辑后售卖]进行间接盈利)。
2、本站所有内容均由合作方或网友上传,本站不对文档的完整性、权威性及其观点立场正确性做任何保证或承诺!文档内容仅供研究参考,付费前请自行鉴别。
3、如文档内容存在违规,或者侵犯商业秘密、侵犯著作权等,请点击“违规举报”。

碎片内容

对数指数运算

您可能关注的文档

精品文档+ 关注
实名认证
内容提供者

中小学学习资料大全

相关文档

确认删除?
VIP
微信客服
  • 扫码咨询
会员Q群
  • 会员专属群点击这里加入QQ群
客服邮箱
回到顶部