电脑桌面
添加小米粒文库到电脑桌面
安装后可以在桌面快捷访问

高考数学复习点拨 例谈一道课本习题的探究与变式VIP免费

高考数学复习点拨 例谈一道课本习题的探究与变式_第1页
1/3
高考数学复习点拨 例谈一道课本习题的探究与变式_第2页
2/3
高考数学复习点拨 例谈一道课本习题的探究与变式_第3页
3/3
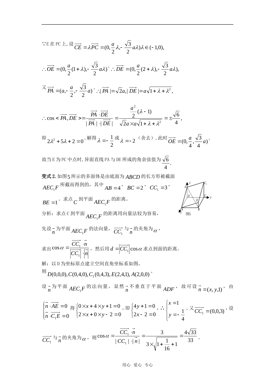
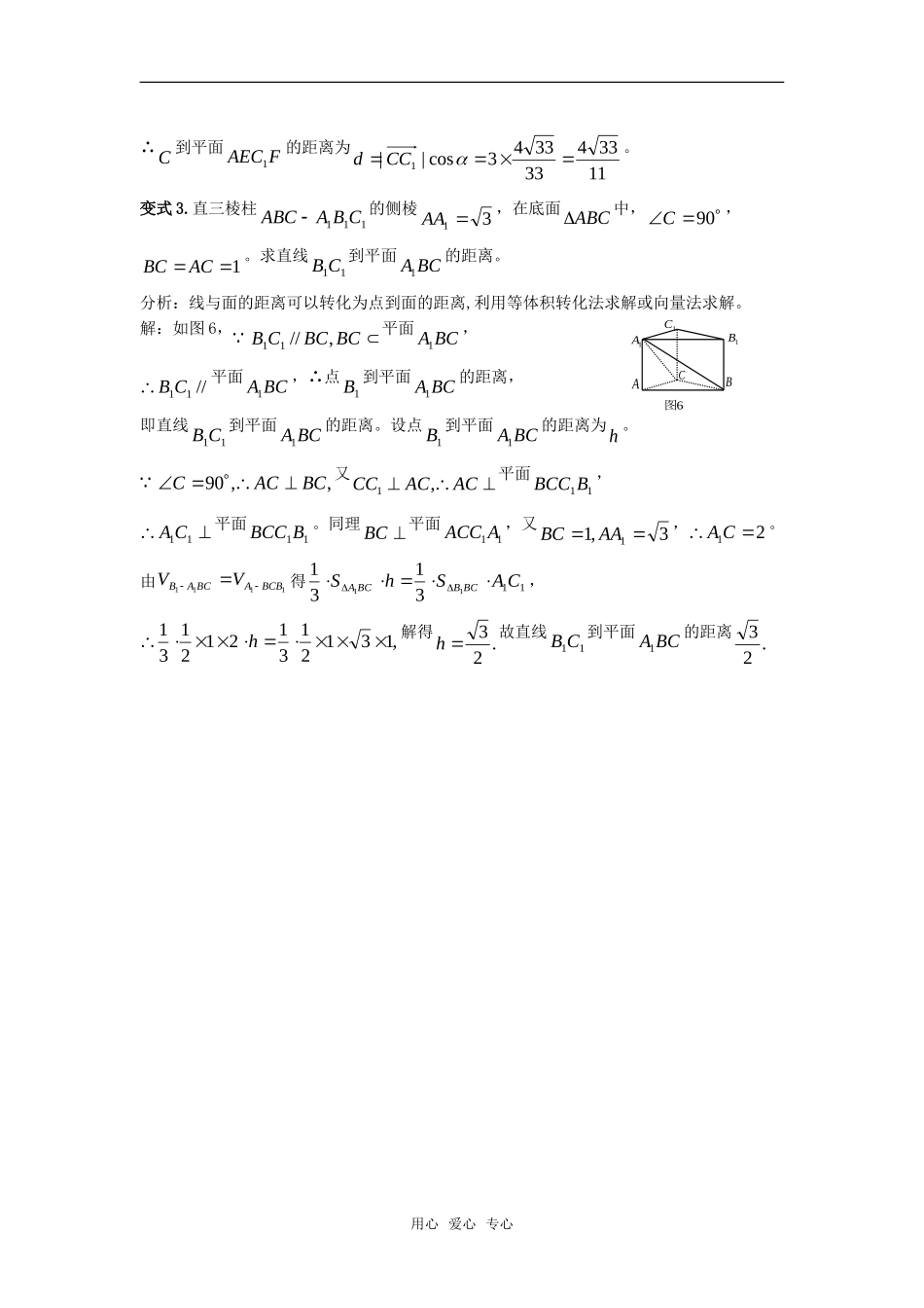
例谈一道课本习题的探究与变式第1题:如图1,四面体DABC中,AB,BC,BD两两垂直,且2BCAB,E是AC中点,异面直线AD与BE所成的角为,且1010cos,求四面体ABCD的体积。分析:依题意知BD平面ABC,且ABCS可求,只需求出三棱柱ABCD的高BD即可。解1(几何法)取CD种点F,连结EF,BF如图2,∵E中点AC,∴EF//AD,且ADEF21,FEB,在BEF中,,221,4212ACBEBDFEBF10102422cos2222BDBEFEBFBEFE,解得4BD..38422213131ADSVABCABCD解2(向量法)以BC,BA,BD为坐标轴建立空间直角坐标系如图3,则)0,1,1(),0,2,0(),0,0,2(),0,0,0(EACB,设),0,0(hD,则),,2,0(),0,1,1(hADBE1010422||||||cos2hADBEADBE,解得4h,.38422213131hSVABCABCD点评:求BD的长,即求点D到平面ABC的距离。注意向量夹角的范围是],0[,异面直线所成角的范围是]2,0(。变式1如图4:四棱锥P—ABCD中,底面四边形ABCD是正方形,侧面PDC是边长为a的正三角形,且平面PDC⊥底面ABCD,在PC上是否存在一点E使异面直线PA与DE所成的角余弦值为.46解:若存在,取DC的中点O,连PO,∵△PDC为正三角形,∴PO⊥DC.又∵面PDC⊥面ABCD,∴PO⊥面ABCD.建立空间直角坐标系,xyzO如图4,则),0,2,0(),0,2,(),23,0,0(aCaaAaP)0,2,0(aD.用心爱心专心1图BCEADBCDAEPxzyO4图BCEADF2图AxyzBCED3图∵E在PC上,设),0,1()23,2,0(aaPCCE)23),1(2,0(aaOE,),23),2(2,0(aaDE又)23,2,(aaaPA,,1||,2||2aDEaPA,4612)1(2||||,cos22aaaDEPADEPADEPA即02522,解得21或2(舍去),此时)43,4,0(aaOE,故当E为PC中点时,异面直线PA与DE所成的角余弦值为.46变式2.如图5所示的多面体是由底面为ABCD的长方形被截面FAEC1所截而得到的,其中4AB,2BC,31CC,1BE。求点C到平面FAEC1的距离。分析:求点C到平面FAEC1的距离用向量法较为容易,先设n为平面FAEC1的法向量,1CC与n的夹角为,求出nCCnCC11cos,然后用cos1CCd求点到面的距离。解:以D为坐标原点建立空间直角坐标系如图,则)0,0,2(),1,4,2(),3,4,0(),0,4,0(),0,0,0(1AECCD。设n为平面FAEC1的法向量,显然n不垂直于平面ADF,故可设)1,,(yxn,由001ECnAEn得02020140yxyx,即022014xy,∴411yx。又)3,0,0(1CC,设1CC与n的夹角为,则333341161133||||cos11nCCnCC。用心爱心专心ACDB1CzyxEF5图∴C到平面FAEC1的距离为11334333343cos||1CCd。变式3.直三棱柱111CBAABC的侧棱31AA,在底面ABC中,90C,1ACBC。求直线11CB到平面BCA1的距离。分析:线与面的距离可以转化为点到面的距离,利用等体积转化法求解或向量法求解。解:如图6,BCBCCB,//11平面BCA1,//11CB平面BCA1,∴点1B到平面BCA1的距离,即直线11CB到平面BCA1的距离。设点1B到平面BCA1的距离为h。,,90BCACC又ACACCC,1平面11BBCC,11CA平面11BBCC。同理BC平面11AACC,又3,11AABC,21CA。由1111BCBABCABVV得11113131CAShSBCBBCA,,1312131212131h解得.23h故直线11CB到平面BCA1的距离.23用心爱心专心A1A1BCB1C6图

1、当您付费下载文档后,您只拥有了使用权限,并不意味着购买了版权,文档只能用于自身使用,不得用于其他商业用途(如 [转卖]进行直接盈利或[编辑后售卖]进行间接盈利)。
2、本站所有内容均由合作方或网友上传,本站不对文档的完整性、权威性及其观点立场正确性做任何保证或承诺!文档内容仅供研究参考,付费前请自行鉴别。
3、如文档内容存在违规,或者侵犯商业秘密、侵犯著作权等,请点击“违规举报”。

碎片内容

高考数学复习点拨 例谈一道课本习题的探究与变式

您可能关注的文档

海博书城+ 关注
实名认证
内容提供者

从事历史教学,热爱教育,高度负责。

相关文档

确认删除?
VIP
微信客服
  • 扫码咨询
会员Q群
  • 会员专属群点击这里加入QQ群
客服邮箱
回到顶部