电脑桌面
添加小米粒文库到电脑桌面
安装后可以在桌面快捷访问

初中一年级数学上册第三章-整式及其加减-测试题VIP专享VIP免费

初中一年级数学上册第三章-整式及其加减-测试题_第1页
1/4
初中一年级数学上册第三章-整式及其加减-测试题_第2页
2/4
初中一年级数学上册第三章-整式及其加减-测试题_第3页
3/4
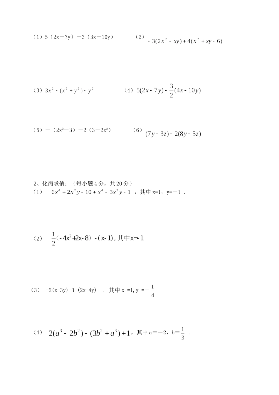
第三章字母表示数单元测试题学号:___姓名:____成绩:____一、选择题:(每小题3分,共36分)1、三个连续自然数,若中间的一个为m,则其它两个数为()A、m+1,m-1B、m+2,m-2C、m,mD、2m,4m2、图5-2的面积用代数式表示是()A.B.C.D.3、下列各组式子中,为同类项的是()A.5x2y与-2xy2B.4x与4x2C.-3xy与yxD.6x3y4与-6x3z44、下列运算中结果正确的是()A3+6xy=9xyB4ab-3a=bC-5x2y+4yx2=-x2yD6a3+2a2=8a55、与a²b是同类项的是()A、-b²aB、-a²bC、-b²aD、a²b²6、已知2x6y2和-()A、-1B、-2C、-3D、-47、已知-x+2y=6,则3(x-2y)2-5(x-2y)+6的值是()A、84B、144C、72D、3608、m-[n-2m-(m-n)]等于()A、-2mB、2mC、4m-2nD、2m-2n9、下列去括号正确的是()A.B.C.D.10、下列运算中,结果正确的是()A.x+x+x=3x³B.6xy–y=xC.8a³-7a²=aD.-3ab²+7b²a=4ab²11、已知a-b=5,c+d=-3,则(b+c)-(a-d)的值是()A、2B、-2C、-8D、812、观察下列算式:A.2B.4C.6D.8二、填空题:(每小题3分,共36分)1、y与10的积的平方,用代数式表示为________2、去括号:-(3x-2)=.3、如果是同类项,那么b-a=.4、化简:-=.5、2ab+b2+=3ab+b2;6、把多项式11x-9+76x+1-2x2-3x合并同类项后是________7、若与的和为5,则k=,n=8、的系数为___;的系数为___9、小林今年m岁,小明比小林小两岁,6年后小明__________岁。10、若用围棋子摆出下列一组图形:……(1)(2)(3)按照这种方法摆下去,第6个图形用了______枚棋子;第n个图形用了______枚棋子.11、a+b-c的相反数是12、一个两位数的十位数字是a,个位数字是b,用代数式表示这个两位数是三、解答题:1、化简下列各式:(每小题4分,共24分)(1)5(2x-7y)-3(3x-10y)(2)(3)(4)(5)-(2x2-3)-2(3-2x2)(6)2、化简求值:(每小题4分,共20分)(1),其中x=1,y=-1.(2)(3)-2(x-3y)-3(2x-4y),其中x=1,y=-(4),其中a=-2,b=.(5)已知:+=0,求代数式x2-xy+y2的值。3、(4分)观察下列各式:;……请你将猜想到的规律用含自然数n(n≥1)的等式表示出来__________________.

1、当您付费下载文档后,您只拥有了使用权限,并不意味着购买了版权,文档只能用于自身使用,不得用于其他商业用途(如 [转卖]进行直接盈利或[编辑后售卖]进行间接盈利)。
2、本站所有内容均由合作方或网友上传,本站不对文档的完整性、权威性及其观点立场正确性做任何保证或承诺!文档内容仅供研究参考,付费前请自行鉴别。
3、如文档内容存在违规,或者侵犯商业秘密、侵犯著作权等,请点击“违规举报”。

碎片内容

初中一年级数学上册第三章-整式及其加减-测试题

您可能关注的文档

确认删除?
VIP
微信客服
  • 扫码咨询
会员Q群
  • 会员专属群点击这里加入QQ群
客服邮箱
回到顶部