电脑桌面
添加小米粒文库到电脑桌面
安装后可以在桌面快捷访问

江苏大学大学物理练习册重点题VIP免费

江苏大学大学物理练习册重点题_第1页
1/12
江苏大学大学物理练习册重点题_第2页
2/12
江苏大学大学物理练习册重点题_第3页
3/12
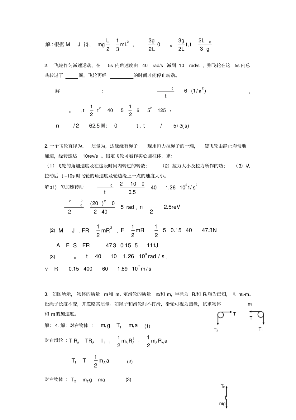
7.一质量为20g的子弹以200m/s的速率射入一固定墙壁内,设子弹所受阻力与其进入墙壁的深度x的关系如图所示,则该子弹能进入墙壁的深度为()(A)3cm;(B)2cm;(C)22cm;(D)cm。解:(A)由动能定理)02.0(2000002.0200002120002.0212xmx03.01.一质量为m的物体,以初速0v从地面抛出,抛射角为,如果忽略空气阻力,则从抛出到刚最高点这一过程中所受冲量的大小为;冲量的方向为。解:jmvjmvimvimvvmvmIsin)sincos(cos00000sin0mv;向下2.人从10m深的井中匀速提水,桶离开水面时装有水10kg。若每升高1m要漏掉的水,则把这桶水从水面提高到井口的过程中,人力所作的功为。解:拉力gxgT2.010,10021000)98.098()2.010(xxdxgxgTdxAhJ8821.摩托快艇以速率0行驶,它受到的摩擦阻力与速率平方成正比,可表示为F=-k2(k为正常数)。设摩托快艇的质量为m,当摩托快艇发动机关闭后,(1)求速率随时间t的变化规律。(2)求路程x随时间t的变化规律。(3)证明速度与路程x之间的关系为xmke0。解:(1)2kvdtdvm,分离变量并积分tvdtmkvdvv020,tkvmmvv00(1)(2)dttkvmmvvdtdx00,)ln(0000mtkvmkmdttkvmmvxt(2)(3)由(1)式得vvmtkvm00,代入(2)式得vvkmx0ln,xmkevv02.一根特殊弹簧,在伸长x米时,其弹力为(4x+6x2)牛顿。将弹簧的一端固定,(1)把弹簧从x=米拉长到x=米,试求外力克服弹簧力所作的功。(2)在弹簧另一端拴一质量为2千克的静止物体,物体置于水平光滑桌面上,试求弹簧从0vmvmIx=米回到x=米时物体的速率。解:(1)JxxdxxxdxFAba25.3)22()64(15.03215.02外外(2)根据质点的动能定理221mvEAk弹JxxdxxxdxFAba25.3)22()64(5.01325.012弹弹,222125.3v,smv/80.11.几个力同时作用在一个具有光滑固定转轴的物体上,如果这几个力的矢量和为零,则此物体(D)(A)必然不会转动;(B)转速必然不变;(C)转速必然改变;(D)转速可能不变,也可能改变.2.于刚体的对轴的转动惯量,下列的说法中正确的是(C)(A)只取决于刚体的质量,与质量在空间的分布和轴的位置无关;(B)取决于刚体的质量和质量在空间的分布和轴的位置无关;(C)取决于刚体的质量、质量在空间的分布和轴的位置;(D)只取决于转轴的位置,与刚体的质量和质量的空间分布无关。4.如图所示,一轻绳跨过两个质量均为m、半径为R的匀质圆盘状定滑轮。绳的两端分别系着质量分别为m和2m的物体,不计滑轮转轴的摩擦,且绳与两滑轮间均无相对滑动,则物体的加速度为。(D)(A)g/3;(B)3g/2;(C)g/4;(D)2g/7。解:maTmg221,mamgT2,2/2/221mamRJRTRT,解得7/2ga5.一根质量为m、长度为L的匀质细直棒,平放在水平桌面上。若它与桌面间的滑动摩擦系数为,在t=0时,使该棒绕过其一端的竖直轴在水平桌面上旋转,其初始角速度为0,则棒停止转动所需时间为(A)(A)2L0/(3g);(B)L0/(3g);(C)4L0/(3g);(D)L0/(6g)。mrm2RLgmLLmgJM23,312,:2得根据解gLttLg32,230002.一飞轮作匀减速运动,在5s内角速度由40rad/s减到10rad/s,则飞轮在这5s内总共转过了圈,飞轮再经的时间才能停止转动。解:)/1(620st,1255621540212200tt,2/n5.62圈;t0,/t)(3/5s2.一个飞轮直径为、质量为,边缘绕有绳子。现用恒力拉绳子的一端,使飞轮由静止均匀地加速,经转速达10rev/s。假定飞轮可看作实心圆柱体,求:(1)飞轮的角加速度及在这段时间内转过的转数;(2)拉力大小及拉力所作的功;(3)从拉动后t=10s时飞轮的角速度及轮边缘上一点的速度大小。解:(1)匀加速转动220/11026.1405.00102strad54020)20(22202,reVn5.22(2)221,mRFRJM,NmRF3.474015.052121JFRSFA111515.03.47(3)sradt/1026.1104030,smRv/1089.16040015.023.如图所示,物体的质量m1和m2,定滑轮的质量mA和mB,半径为RA和RB均为已知,且m1>m2。设绳子长度不变,并忽略其质量。如绳子和滑轮间不打滑,滑轮可视为圆盘,试求物体m1和m2的加速度。解:4.解:对右物体:amTgm111(1)对右滑轮:aRmRmITRRTAAAAAA212112111amTTA211(2)对左物体:magmT22(3)m2gT2T2TTT1对左滑轮:aRmRmIRTTRBBBBBB212122222amTTB212(4)(1)(4)式相加得gmmmmmmaBA2/2/21214:轻绳绕于半径r=20cm的飞轮边缘,在绳端施以大小为98N的拉力,飞轮的转动惯量I=m2。设绳子与滑轮间无相对滑动,...

1、当您付费下载文档后,您只拥有了使用权限,并不意味着购买了版权,文档只能用于自身使用,不得用于其他商业用途(如 [转卖]进行直接盈利或[编辑后售卖]进行间接盈利)。
2、本站所有内容均由合作方或网友上传,本站不对文档的完整性、权威性及其观点立场正确性做任何保证或承诺!文档内容仅供研究参考,付费前请自行鉴别。
3、如文档内容存在违规,或者侵犯商业秘密、侵犯著作权等,请点击“违规举报”。

碎片内容

江苏大学大学物理练习册重点题

确认删除?
VIP
微信客服
  • 扫码咨询
会员Q群
  • 会员专属群点击这里加入QQ群
客服邮箱
回到顶部