电脑桌面
添加小米粒文库到电脑桌面
安装后可以在桌面快捷访问

复习背记内容VIP免费

复习背记内容_第1页
1/4
复习背记内容_第2页
2/4
复习背记内容_第3页
3/4
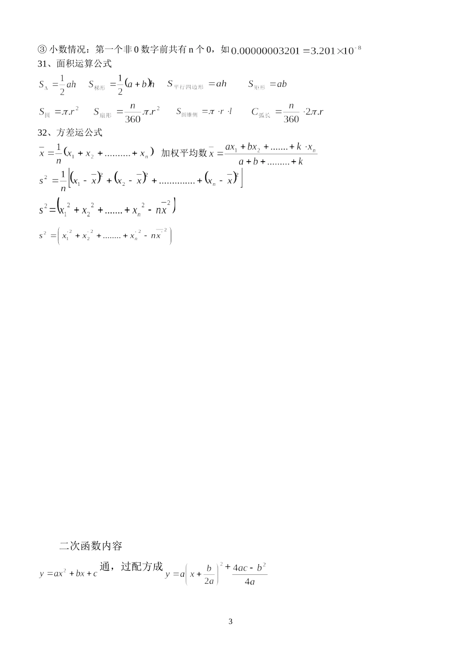
复习背记内容1、两条直线相交,有2组对顶角,有4组邻补角。2、如图:∠1与∠2互为邻补角,且∠1与∠2的平分线互相垂直。3、对顶角相等,同角的余角相等,同角的补角相等。4、如图: AB⊥CD(已知) ∠BOD=Rt∠=90o。∴∠AOC=90o。(垂直的定义)∴AB⊥CD5、垂线段最短,直线外一点到这条直线的垂线段的长度,叫做点到直线的距离。6、在同一平面内,不相交的两条直线,叫做平行线。在同一平面内,同垂直于一直线的两直线平行。同平行于一直线的两直线平行。同位角相等,两直线平行。内错角相等,两直线平行。同旁内角互补,两直线平行。7、如果一个角的两边分别平行于另一个角的两边,那么这两个角相等或互补。如果一个角的两边分别垂直于另一个角的两边,那么这两个角相等或互补。8、“两直线平行,内错角相等”。的逆命题是内错角相等,两直线平行。这个逆命题是真命题。9.X轴正半轴上的点,横坐标为正,纵坐标为0。X轴负半轴上的点,横坐标为负,纵坐标为0。Y轴正半轴上的点,横坐标为0,纵坐标为正。Y轴负半轴上的点,横坐标为0,纵坐标为负。关于X轴对称的点,横坐标不变,纵坐标相反数。关于Y轴对称的点,横坐标相反数,纵坐标不变。关于原点对称的点,横坐标相反数,纵坐标相反数。10、三角形的任意两边之和大于第三边,两边之差小于第三边。11、从三角形的一个顶点向对边所在直线引垂线段,叫做三角形的高。12、三角形的一个顶点与对边中点的连结线段,叫做三角形的中线。13、三角形的一个角的平分线与对边的交点之间的线段,叫做三角形的角平分线。14、三角形的内角和等于180,外角和等于360。直角三角形的两锐角互余。15、三角形的一个外角和它相邻的内角互为邻补角,△的一个外角等于与它不相邻两个内角的和。△的一个外角大于与它不相邻的任何一个内角。△的两边之和大于第三边;两边之差小于第三边;已知两边,第三边的取值范围是:两边之差﹤第三边﹤两边之和。16、n边形从一个顶点出发共有n-3条对角线,这n-3条对角线把n边形分成n-2个三角形,n边形共有条对角线。17、n边形的内角和为(n-2)×180,外角和为360。每个外角与相邻的内角和为180。18、相交于同一点的n条直线共有n(n-1)组对顶角。一条直线上的n个不同点共有条线段。19、无限循环小数是分数,无限不循环小数是无理数。有理数和无理数统称实数。20、如果x2=a(a≧0),那么x叫做a的平方根。如果x3=a,那么x叫做a的立方根。1OCDABDABC12CBADBACD21、正数有两个个平方根,它们互为相反数;零的平方根是0。负数没有平方根。正数的立方根是正数,负数的立方根正数。22、平方根等于本身的数是0,算术平方根等于本身的数是0.1,立方根等于本身的数是0.±1。23、正整数整数0有理数负整数有限小数实数分数无限循环小数无理数(无限循环小数)24、(8)(12)25、不等式的性质(1)不等式的两边同时加上(或减去)同一个数或整式,不等号的方向不变。(常用于不等式的移项,与方程的移项相同,只是不改变不等号和方向)(2)不等式的两边同时乘以(或除以)同一个正数,不等号的方向不变。(常用于去分母和系数化为1)(3)不等式的两边同时乘以(或除以)同一个负数,不等号的方向要变。(常用于去分母和系数化为1)26、不等式组的解:①同大取大;②同小取小;OO③大于小、小于大取中间;④大于大、小于小无解。OO27、角所对的直角边等于斜边的一半。28、直角三角形斜边上的中线等于斜边的一半。30、科学记数法:()①整数情况:共有n+1位整数,如30200000=(8位整数)②(只有一位整数)2③小数情况:第一个非0数字前共有n个0,如31、面积运算公式32、方差运公式加权平均数二次函数内容通,过配方成+31、+是在的基础上,沿X轴方向平移()个单位(加向左、减向右),然后沿Y轴方向平移个单位(加向上、减向下);抛物线开口向上,抛物线开口向下。2、对称轴:,顶点坐标(,)当时,=3、抛物线与Y轴交于(0,C)点。4、与=0的关系①当时,抛物线与X轴有两个交点:A(),B()、是方程=0的两个不相等的实数根同样满足AB=②当0时,抛物线与X轴有一个交点(顶点):(,0)==是方程=0的两个相等的实数根③当时,抛物线与...

1、当您付费下载文档后,您只拥有了使用权限,并不意味着购买了版权,文档只能用于自身使用,不得用于其他商业用途(如 [转卖]进行直接盈利或[编辑后售卖]进行间接盈利)。
2、本站所有内容均由合作方或网友上传,本站不对文档的完整性、权威性及其观点立场正确性做任何保证或承诺!文档内容仅供研究参考,付费前请自行鉴别。
3、如文档内容存在违规,或者侵犯商业秘密、侵犯著作权等,请点击“违规举报”。

碎片内容

复习背记内容

您可能关注的文档

精品中小学文档+ 关注
实名认证
内容提供者

精品资料,值得下载

相关文档

确认删除?
VIP
微信客服
  • 扫码咨询
会员Q群
  • 会员专属群点击这里加入QQ群
客服邮箱
回到顶部