电脑桌面
添加小米粒文库到电脑桌面
安装后可以在桌面快捷访问

分式运算的几点技巧VIP免费

分式运算的几点技巧_第1页
1/4
分式运算的几点技巧_第2页
2/4
分式运算的几点技巧_第3页
3/4
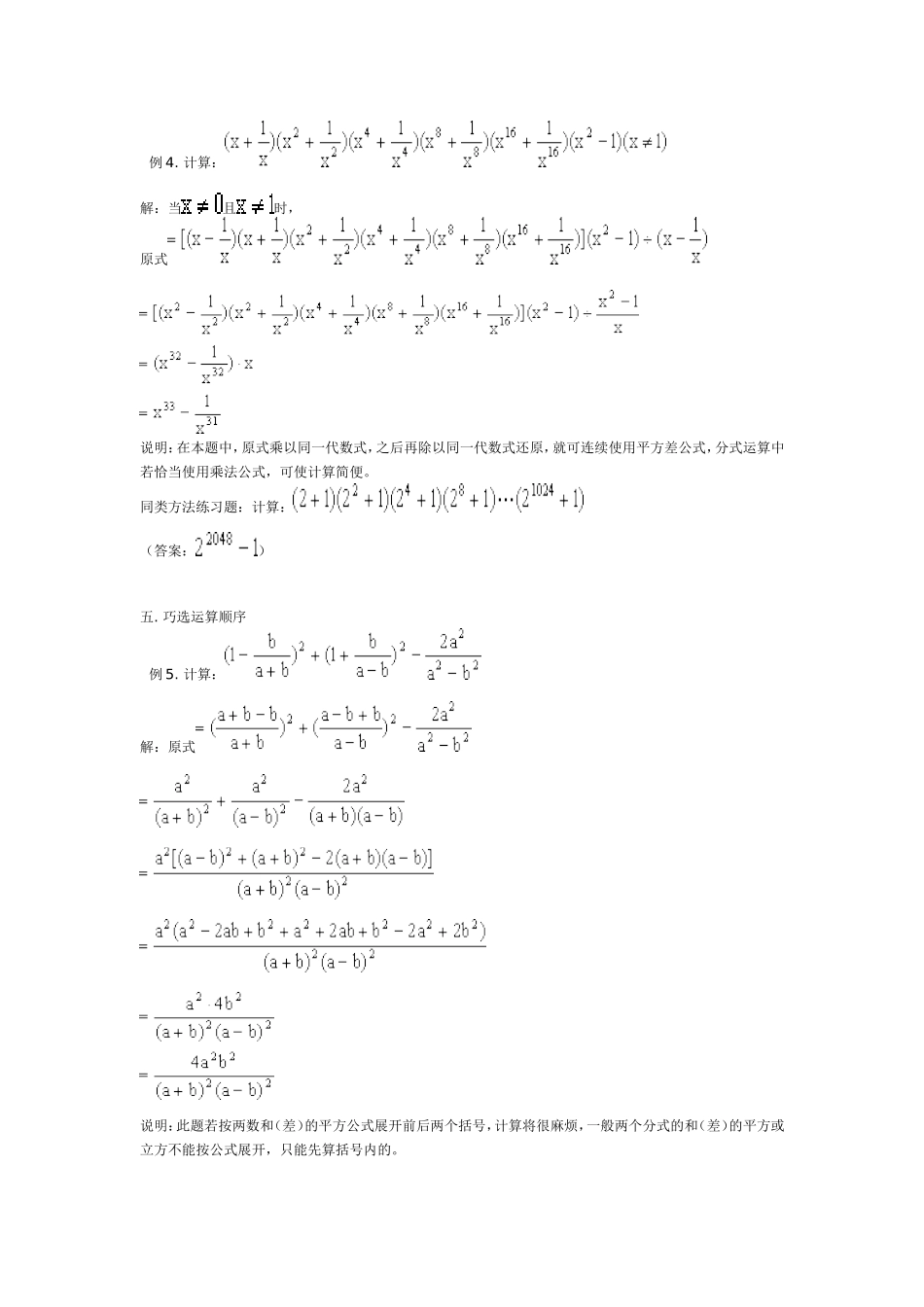
分式运算的几点技巧分式运算的一般方法就是按分式运算法则和运算顺序进行运算。但对某些较复杂的题目,使用一般方法有时计算量太大,导致出错,有时甚至算不出来,下面列举几例介绍分式运算的几点技巧。一.分段分步法例1.计算:解:原式说明:若一次通分,计算量太大,注意到相邻分母之间,依次通分构成平方差公式,采用分段分步法,则可使问题简单化。同类方法练习题:计算(答案:)二.分裂整数法例2.计算:解:原式说明:当算式中各分式的分子次数与分母次数相同次数时,一般要先利用分裂整数法对分子降次后再通分;在解某些分式方程中,也可使用分裂整数法。同类方法练习题:有一些“幸福”牌的卡片(卡片数目不为零),团团的卡片比这些多6张,圆圆的卡片比这些多2张,且知团团的卡片是圆圆的整数倍,求团团和圆圆各多少张卡片?(答案:团团8张,圆圆4张)三.拆项法例3.计算:解:原式说明:对形如上面的算式,分母要先因式分解,再逆用公式,各个分式拆项,正负抵消一部分,再通分。在解某些分式方程中,也可使用拆项法。同类方法练习题:计算:(答案:)四.活用乘法公式例4.计算:解:当且时,原式说明:在本题中,原式乘以同一代数式,之后再除以同一代数式还原,就可连续使用平方差公式,分式运算中若恰当使用乘法公式,可使计算简便。同类方法练习题:计算:(答案:)五.巧选运算顺序例5.计算:解:原式说明:此题若按两数和(差)的平方公式展开前后两个括号,计算将很麻烦,一般两个分式的和(差)的平方或立方不能按公式展开,只能先算括号内的。同类方法练习题:解方程(答案:)六.见繁化简例6.计算:解:原式说明:若运算中的分式不是最简分式,可先约分,再选用适当方法通分,可使运算简便。同类方法练习题:解方程(答案:)在分式运算中,应根据分式的具体特点,灵活机动,活用方法。方能起到事半功倍的效率。

1、当您付费下载文档后,您只拥有了使用权限,并不意味着购买了版权,文档只能用于自身使用,不得用于其他商业用途(如 [转卖]进行直接盈利或[编辑后售卖]进行间接盈利)。
2、本站所有内容均由合作方或网友上传,本站不对文档的完整性、权威性及其观点立场正确性做任何保证或承诺!文档内容仅供研究参考,付费前请自行鉴别。
3、如文档内容存在违规,或者侵犯商业秘密、侵犯著作权等,请点击“违规举报”。

碎片内容

分式运算的几点技巧

您可能关注的文档

精品文库+ 关注
实名认证
内容提供者

中小学课件教案小学资料大全

确认删除?
VIP
微信客服
  • 扫码咨询
会员Q群
  • 会员专属群点击这里加入QQ群
客服邮箱
回到顶部