电脑桌面
添加小米粒文库到电脑桌面
安装后可以在桌面快捷访问

高考数学二轮复习 专题三 三角函数 专题能力训练10 三角变换与解三角形 文-人教版高三全册数学试题VIP免费

高考数学二轮复习 专题三 三角函数 专题能力训练10 三角变换与解三角形 文-人教版高三全册数学试题_第1页
1/7
高考数学二轮复习 专题三 三角函数 专题能力训练10 三角变换与解三角形 文-人教版高三全册数学试题_第2页
2/7
高考数学二轮复习 专题三 三角函数 专题能力训练10 三角变换与解三角形 文-人教版高三全册数学试题_第3页
3/7
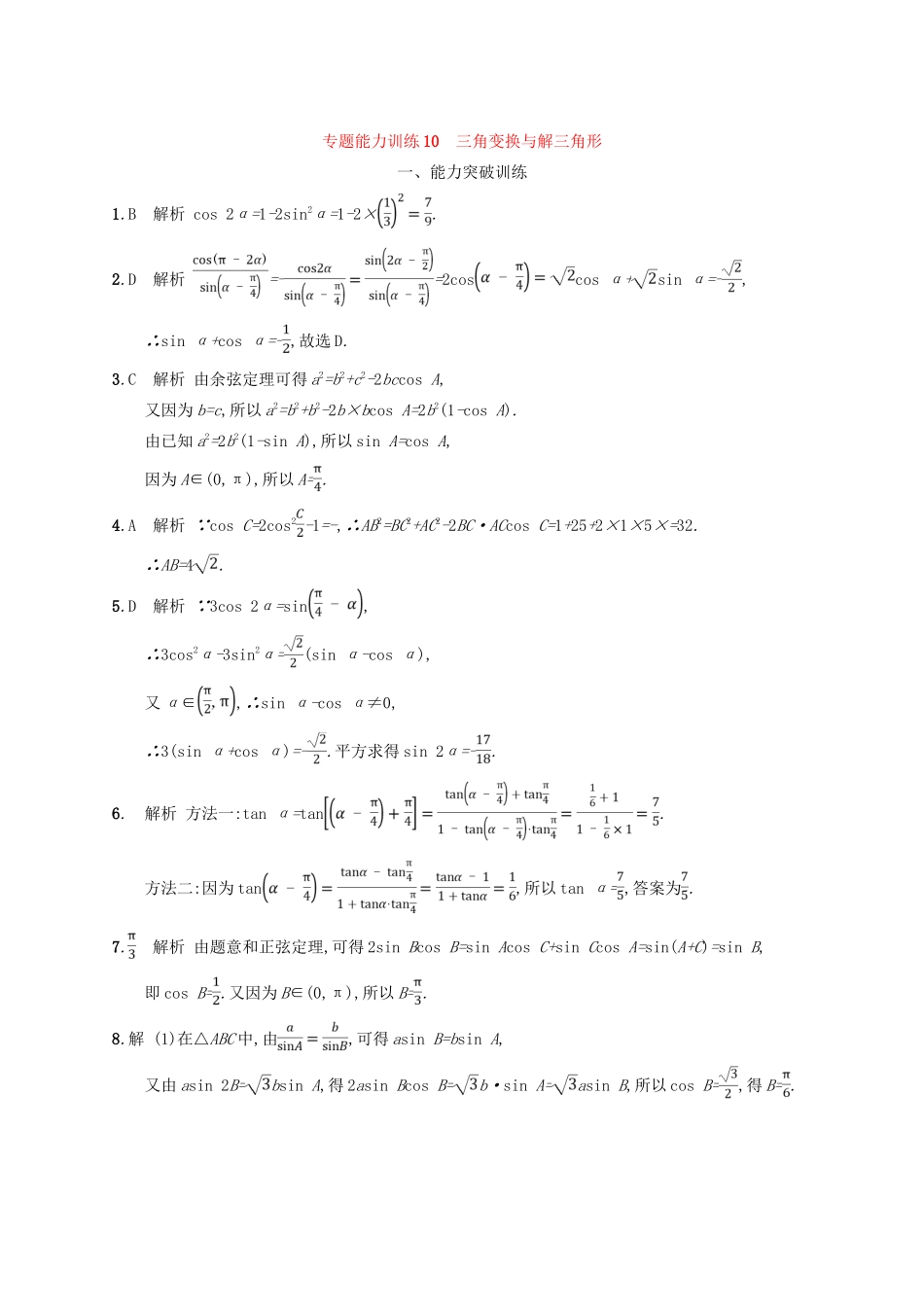
专题能力训练10三角变换与解三角形一、能力突破训练1.(2018全国Ⅲ,文4)若sinα=,则cos2α=()A.B.C.-D.-2.已知=-,则sinα+cosα等于()A.-B.C.D.-3.△ABC中,角A,B,C的对边分别是a,b,c.已知b=c,a2=2b2(1-sinA),则A=()A.B.C.D.4.(2018全国Ⅱ,文7)在△ABC中,cos,BC=1,AC=5,则AB=()A.4B.C.D.25.若α∈,3cos2α=sin,则sin2α的值为()A.B.-C.D.-6.若tan,则tanα=.7.△ABC的内角A,B,C的对边分别为a,b,c,若2bcosB=acosC+ccosA,则B=.8.在△ABC中,内角A,B,C所对的边分别为a,b,c.已知asin2B=bsinA.(1)求B;(2)若cosA=,求sinC的值.9.已知函数f(x)=sin2x-cos2x-2sinx·cosx(x∈R).(1)求f的值;(2)求f(x)的最小正周期及单调递增区间.10.设△ABC的内角A,B,C的对边分别为a,b,c,a=btanA,且B为钝角.(1)证明:B-A=;(2)求sinA+sinC的取值范围.11.设f(x)=sinxcosx-cos2.(1)求f(x)的单调区间;(2)在锐角三角形ABC中,角A,B,C的对边分别为a,b,c.若f=0,a=1,求△ABC面积的最大值.二、思维提升训练12.若0<α<,-<β<0,cos,cos,则cos等于()A.B.-C.D.-13.△ABC的内角A,B,C的对边分别为a,b,c.已知sinB+sinA(sinC-cosC)=0,a=2,c=,则C=()A.B.C.D.14.(2018全国Ⅰ,文11)已知角α的顶点为坐标原点,始边与x轴的非负半轴重合,终边上有两点A(1,a),B(2,b),且cos2α=,则|a-b|=()A.B.C.D.115.已知△ABC,AB=AC=4,BC=2.点D为AB延长线上一点,BD=2,连接CD,则△BDC的面积是,cos∠BDC=.16.△ABC的内角A,B,C的对边分别为a,b,c,若cosA=,cosC=,a=1,则b=.17.(2018全国Ⅰ,文16)△ABC的内角A,B,C的对边分别为a,b,c,已知bsinC+csinB=4asinBsinC,b2+c2-a2=8,则△ABC的面积为.18.已知向量a=(cosx,sinx),b=(3,-),x∈[0,π].(1)若a∥b,求x的值;(2)记f(x)=a·b,求f(x)的最大值和最小值以及对应的x的值.专题能力训练10三角变换与解三角形一、能力突破训练1.B解析cos2α=1-2sin2α=1-2×.2.D解析=-=2coscosα+sinα=-,∴sinα+cosα=-,故选D.3.C解析由余弦定理可得a2=b2+c2-2bccosA,又因为b=c,所以a2=b2+b2-2b×bcosA=2b2(1-cosA).由已知a2=2b2(1-sinA),所以sinA=cosA,因为A∈(0,π),所以A=.4.A解析 cosC=2cos2-1=-,∴AB2=BC2+AC2-2BC·ACcosC=1+25+2×1×5×=32.∴AB=4.5.D解析 3cos2α=sin,∴3cos2α-3sin2α=(sinα-cosα),又α∈,∴sinα-cosα≠0,∴3(sinα+cosα)=-.平方求得sin2α=-.6.解析方法一:tanα=tan.方法二:因为tan,所以tanα=,答案为.7.解析由题意和正弦定理,可得2sinBcosB=sinAcosC+sinCcosA=sin(A+C)=sinB,即cosB=.又因为B∈(0,π),所以B=.8.解(1)在△ABC中,由,可得asinB=bsinA,又由asin2B=bsinA,得2asinBcosB=b·sinA=asinB,所以cosB=,得B=.(2)由cosA=,可得sinA=,则sinC=sin[π-(A+B)]=sin(A+B)=sinsinA+cosA=.9.解(1)由sin,cos=-,f-2,得f=2.(2)由cos2x=cos2x-sin2x与sin2x=2sinxcosx得f(x)=-cos2x-sin2x=-2sin.所以f(x)的最小正周期是π.由正弦函数的性质得+2kπ≤2x++2kπ,k∈Z,解得+kπ≤x≤+kπ,k∈Z,所以,f(x)的单调递增区间是(k∈Z).10.(1)证明由a=btanA及正弦定理,得,所以sinB=cosA,即sinB=sin.又B为钝角,因此+A∈,故B=+A,即B-A=.(2)解由(1)知,C=π-(A+B)=π--2A>0,所以A∈,于是sinA+sinC=sinA+sin=sinA+cos2A=-2sin2A+sinA+1=-2.因为00,所以sinA+cosA=0,即tanA=-1,因为A∈(0,π),所以A=.由正弦定理,得,即sinC=,所以C=,故选B.14.B解析因为cos2α=2cos2α-1=,所以co...

1、当您付费下载文档后,您只拥有了使用权限,并不意味着购买了版权,文档只能用于自身使用,不得用于其他商业用途(如 [转卖]进行直接盈利或[编辑后售卖]进行间接盈利)。
2、本站所有内容均由合作方或网友上传,本站不对文档的完整性、权威性及其观点立场正确性做任何保证或承诺!文档内容仅供研究参考,付费前请自行鉴别。
3、如文档内容存在违规,或者侵犯商业秘密、侵犯著作权等,请点击“违规举报”。

碎片内容

高考数学二轮复习 专题三 三角函数 专题能力训练10 三角变换与解三角形 文-人教版高三全册数学试题

远洋启航书店+ 关注
实名认证
内容提供者

从事历史教学,热爱教育,高度负责。

确认删除?
VIP
微信客服
  • 扫码咨询
会员Q群
  • 会员专属群点击这里加入QQ群
客服邮箱
回到顶部