电脑桌面
添加小米粒文库到电脑桌面
安装后可以在桌面快捷访问

因式分解课题VIP免费

因式分解课题_第1页
1/5
因式分解课题_第2页
2/5
因式分解课题_第3页
3/5
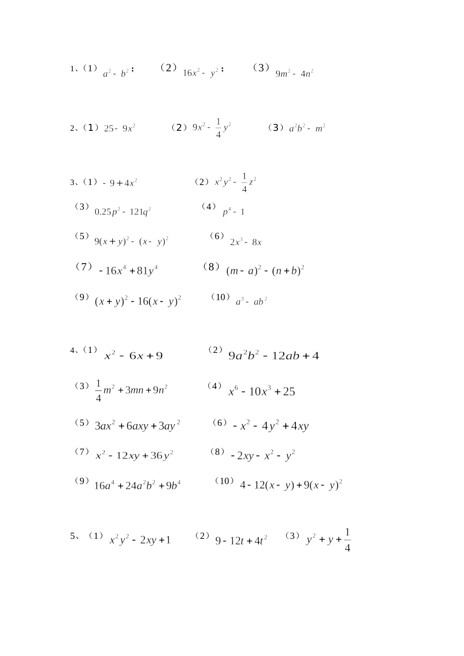
初高中衔接——因式分解练习因式分解(一)1、下列各式从左到右的变形中,是因式分解的为()A.B.C.D.2、将下列各式分解因式:(1)3x+x2;(2)7x2–21x;(3)8a3b2–12ab3c+ab(4)–24x3–12x2+28x3、(1)ma+mb;(2)5y3+20y2;(3)6x-9xy;(4)a2b-5ab;(5)4m3-6m2;(6)a2b-5ab+9b;(7)-a2+ab-ac;(8)-2x3+4x2-6x.4、下列多项式中,公因式是5a2b的是()A.15a2b-20a2b2B.30a2b3-15ab4-10a3b2C.10a2b2-20a2b3+50a4b5D.5a2b4-10a3b3+15a4b25、下列分解因式结果正确的是()A.a2b+7ab-b=b(a2+7a)B.3x2y-3xy+6y=3y(x2-x+2C.8xyz-6x2y2=2xyz(4-3xy)D.-2a2+4ab-6ac=-2a(a-2b-3c)6、将下列多项式进行分解因式:(1)2x2-4x;(2)8m2n+2mn;(3)a2x2y-axy2;(4)3x3-3x2–9x;(5)-24x2y–12xy2+28y3;(6)-4a3b3+6a2b–2ab;(7)-2x2–12xy2+8xy3;(8)–3ma3+6ma2–12ma。7、(1)(2)(3)(4)(5)(6)因式分解(二)1、(1);(2);(3)2、(1)(2)(3)3、(1)(2)(3)(4)(5)(6)(7)(8)(9)(10)4、(1)(2)(3)(4)(5)(6)(7)(8)(9)(10)5、(1)(2)(3)(4)(5)(6)(7)因式分解(三)1、⑴⑵(3)(4)(5)(6)(7)(8)2、⑴⑵⑶⑷3、下列多项式的分解因式,正确的是()A.B.C.D.4、把多项式分解因式等于()A.B.C.D.5、下列多项式中不能用平方差公式分解的是()(1)(2)(3)(4)A.(1)(2)B.(2)(4)C.(3)(4)D.(2)(3)6、下列多项式中,不能用完全平方公式分解因式的是()A.B.C.D.

1、当您付费下载文档后,您只拥有了使用权限,并不意味着购买了版权,文档只能用于自身使用,不得用于其他商业用途(如 [转卖]进行直接盈利或[编辑后售卖]进行间接盈利)。
2、本站所有内容均由合作方或网友上传,本站不对文档的完整性、权威性及其观点立场正确性做任何保证或承诺!文档内容仅供研究参考,付费前请自行鉴别。
3、如文档内容存在违规,或者侵犯商业秘密、侵犯著作权等,请点击“违规举报”。

碎片内容

因式分解课题

您可能关注的文档

精品文档+ 关注
实名认证
内容提供者

中小学学习资料大全

相关文档

确认删除?
VIP
微信客服
  • 扫码咨询
会员Q群
  • 会员专属群点击这里加入QQ群
客服邮箱
回到顶部