电脑桌面
添加小米粒文库到电脑桌面
安装后可以在桌面快捷访问

计算题练习题VIP专享VIP免费

计算题练习题_第1页
1/2
计算题练习题_第2页
2/2
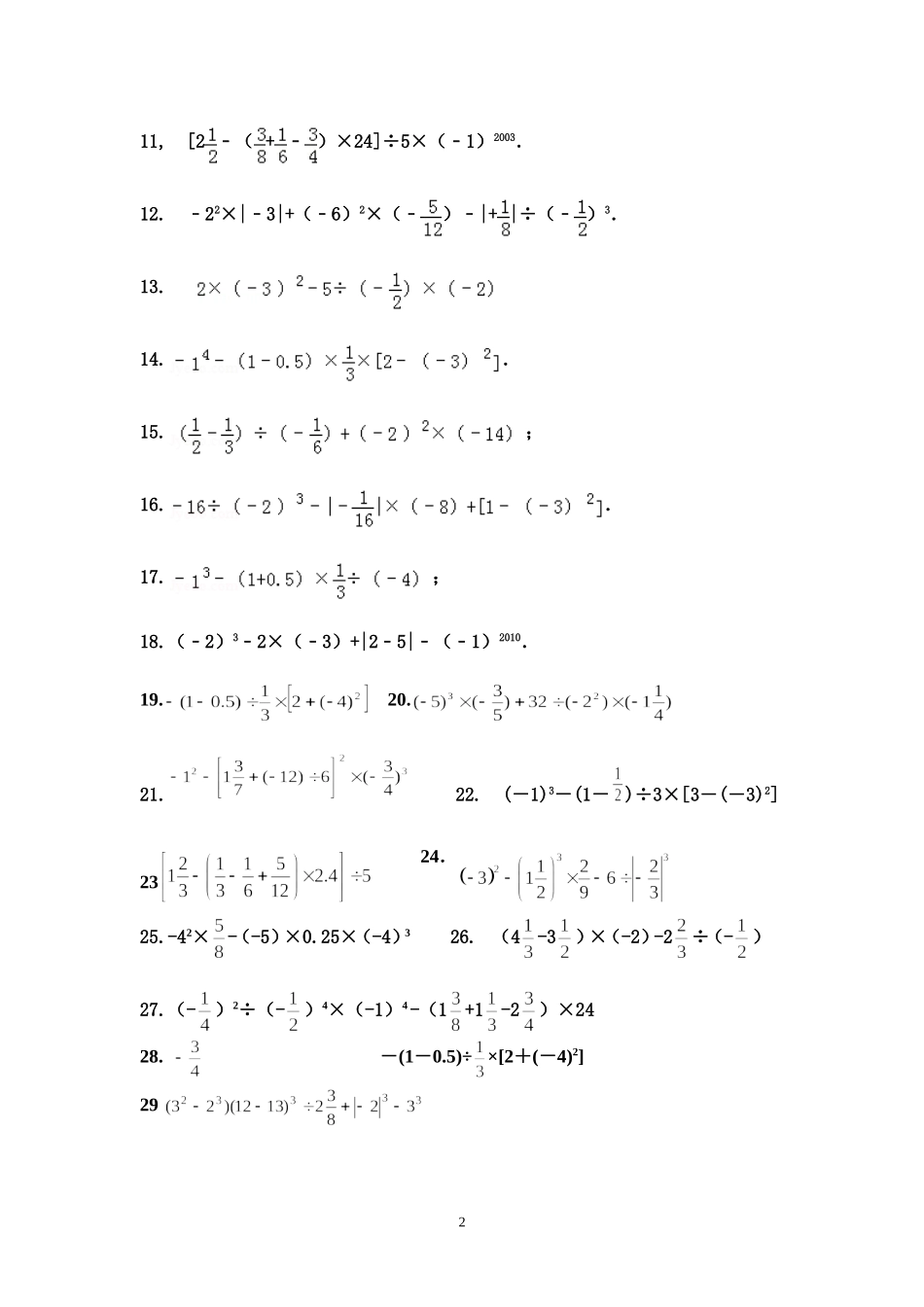
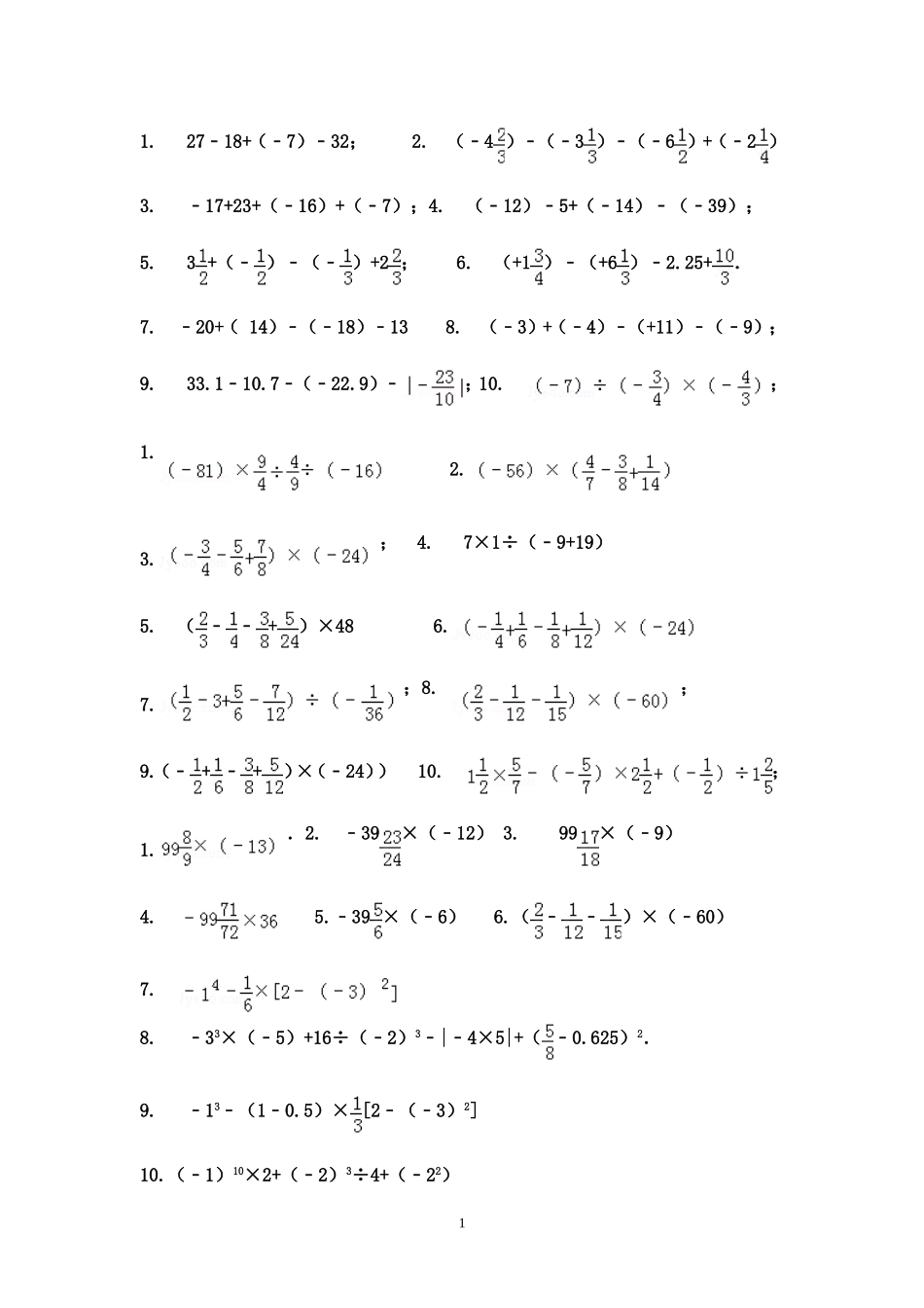
1.27﹣18+(﹣7)﹣32;2.(﹣4)﹣(﹣3)﹣(﹣6)+(﹣2)3.﹣17+23+(﹣16)+(﹣7);4.(﹣12)﹣5+(﹣14)﹣(﹣39);5.3+(﹣)﹣(﹣)+2;6.(+1)﹣(+6)﹣2.25+.7.﹣20+(14)﹣(﹣18)﹣138.(﹣3)+(﹣4)﹣(+11)﹣(﹣9);9.33.1﹣10.7﹣(﹣22.9)﹣;10.;1.2.3.;4.7×1÷(﹣9+19)5.(﹣﹣+)×486.7.;8.;9.(﹣+﹣+)×(﹣24))10.;1..2.﹣39×(﹣12)3.99×(﹣9)4.5.﹣39×(﹣6)6.(﹣﹣)×(﹣60)7.8.﹣33×(﹣5)+16÷(﹣2)3﹣|﹣4×5|+(﹣0.625)2.9.﹣13﹣(1﹣0.5)×[2﹣(﹣3)2]10.(﹣1)10×2+(﹣2)3÷4+(﹣22)111,[2﹣(+﹣)×24]÷5×(﹣1)2003.12.﹣22×|﹣3|+(﹣6)2×(﹣)﹣|+|÷(﹣)3.13.14..15.;16..17.;18.(﹣2)3﹣2×(﹣3)+|2﹣5|﹣(﹣1)2010.19.20.21.22.(-1)3-(1-)÷3×[3―(―3)2]2324.25.-42×-(-5)×0.25×(-4)326.(4-3)×(-2)-2÷(-)27.(-)2÷(-)4×(-1)4-(1+1-2)×2428.―(1―0.5)÷×[2+(-4)2]292

1、当您付费下载文档后,您只拥有了使用权限,并不意味着购买了版权,文档只能用于自身使用,不得用于其他商业用途(如 [转卖]进行直接盈利或[编辑后售卖]进行间接盈利)。
2、本站所有内容均由合作方或网友上传,本站不对文档的完整性、权威性及其观点立场正确性做任何保证或承诺!文档内容仅供研究参考,付费前请自行鉴别。
3、如文档内容存在违规,或者侵犯商业秘密、侵犯著作权等,请点击“违规举报”。

碎片内容

计算题练习题

您可能关注的文档

确认删除?
VIP
微信客服
  • 扫码咨询
会员Q群
  • 会员专属群点击这里加入QQ群
客服邮箱
回到顶部