电脑桌面
添加小米粒文库到电脑桌面
安装后可以在桌面快捷访问

高一函数练习题及答案详解VIP专享VIP免费

高一函数练习题及答案详解_第1页
1/4
高一函数练习题及答案详解_第2页
2/4
高一函数练习题及答案详解_第3页
3/4
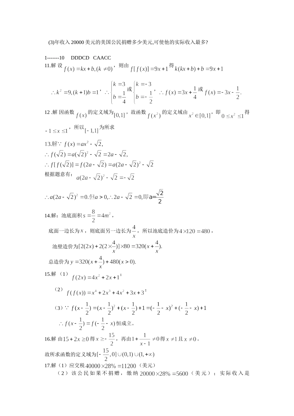
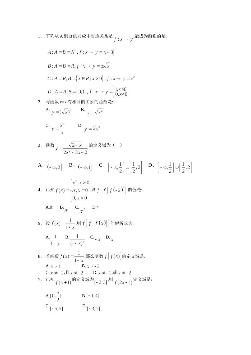
1.下列从A到B的对应中对应关系是,能成为函数的是:.2.与函数y=x有相同的图象的函数是:A.B.C.D.3.函数的定义域为()A、B、C、D、4.已知,则的值是:A.0B.C.D.45.设,则的解析式为:A.B.C.D.6.若函数,那么函数的定义域是:A.B.C.,且D.,或7.已知的定义域为,则定义域是:A.B.C.D.8.函数定义域为,对任意都有,又,则:A.B.1C.D.9.函数在上的值域为,则的值为:A.0B.1C.0或1D.210.已知,其中表示不超过x的最大整数,如,则:A.2B.C.1D.211.若一次函数满足,则___________.12.已知函数的定义域为,函数的定义域为:___________.13.函数,如果,则________.14.建造一个容积为,深为的长方体无盖水池,如果池底和池壁的造价分别为120元和80元,则总造价y关于底面一边长x的函数解析式为:_____________________.15.已知函数,(1)求的解析式;(2)求的解析式(3)对任意,求证恒成立.16.求的定义域;17.美国的高税收是世界上出名的,生活在那里的人们总在抱怨各种税收,以工薪阶层的个人所得税为例,以年收入17850美元为界,低于(含等于)这个数字的缴纳15%的个人所得税,高于17850美元的缴纳28%的个人所得税.(1)年收入40000美元的美国公民交多少个人所得税?(2)美国政府规定捐赠可以免税,即收入中捐赠部分在交税时给予扣除,一位年收入20000美元的美国公民捐赠了2200美元,问他的实际收入有没有因为捐赠而减少?(3)年收入20000美元的美国公民捐赠多少美元,可使他的实际收入最多?1-------10DDDCDCAACC11.解设,则由得,或,或12.解因函数的定义域为,故函数的定义域由,即得,所以为所求根据题意有:14.解:池底面积,底面一边长为,则底面另一边长为,所以池底造价为,池壁造价为总造价为15.解(1);(2);(3)恒成立。16.解由得,再由得且。故所求函数的定义域为17.解(1)应交税(美元)(2)该公民如果不捐赠,缴纳(美元);实际收入是(美元);捐赠后节余(美元);缴纳(美元);实际收入(美元),因此实际收入反而有所增加。(3)假设捐赠美元,若,则剩余(美元),缴纳后剩余(美元);当时,则缴纳后剩余(美元)当时,收入;当时,(美元)。当时,当时,(美元)相比较而言捐出美元,实际收入美元为最多。

1、当您付费下载文档后,您只拥有了使用权限,并不意味着购买了版权,文档只能用于自身使用,不得用于其他商业用途(如 [转卖]进行直接盈利或[编辑后售卖]进行间接盈利)。
2、本站所有内容均由合作方或网友上传,本站不对文档的完整性、权威性及其观点立场正确性做任何保证或承诺!文档内容仅供研究参考,付费前请自行鉴别。
3、如文档内容存在违规,或者侵犯商业秘密、侵犯著作权等,请点击“违规举报”。

碎片内容

高一函数练习题及答案详解

您可能关注的文档

确认删除?
VIP
微信客服
  • 扫码咨询
会员Q群
  • 会员专属群点击这里加入QQ群
客服邮箱
回到顶部