电脑桌面
添加小米粒文库到电脑桌面
安装后可以在桌面快捷访问

高二数学专题复习一:导数与最值、导数应用(文)人教实验A版知识精讲VIP免费

高二数学专题复习一:导数与最值、导数应用(文)人教实验A版知识精讲_第1页
1/11
高二数学专题复习一:导数与最值、导数应用(文)人教实验A版知识精讲_第2页
2/11
高二数学专题复习一:导数与最值、导数应用(文)人教实验A版知识精讲_第3页
3/11
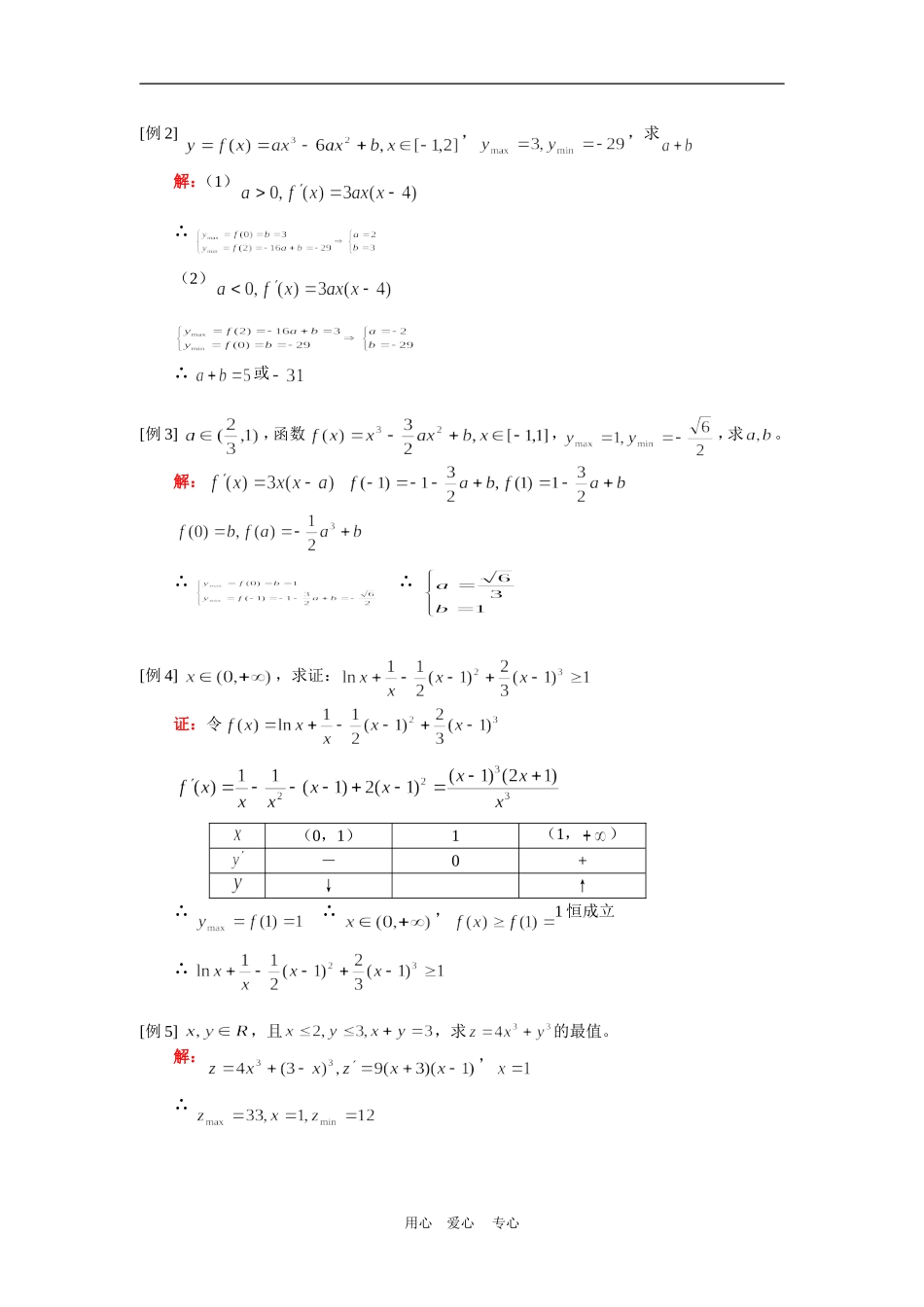
高二数学专题复习一:导数与最值、导数应用(文)人教实验A版【本讲教育信息】一.教学内容:专题复习一:导数与最值、导数应用二.重点、难点:1.闭区间上的连续函数必有最值。2.,,求的值,最大的为最大值,最小的为最小值。3.应用问题(1)选定自变量x(2)选定函数值y(3)建立函数关系(4)确定函数的定义域(5)用导数求最值【典型例题】[例1]求下列函数最值(1),解:x=0,1,3(舍)∴(2),解:∴(3)∴∴用心爱心专心[例2],,求解:(1)∴(2)∴或[例3],函数,,求。解:∴∴[例4],求证:证:令(0,1)1(1,)-0+↓↑∴∴,1恒成立∴[例5],且,求的最值。解:,∴用心爱心专心[例6]已知a为实数,,(1)求导数;(2)若,求在上的最大值和最小值;(3)若在和上都是增函数,求的取值范围。解:(1)因为所以(2)由,得,此时有所以,由,得或,又因为,,所以在上的最大值为,最小值为(3) 的图象为开口向上且过点(0,-4)的抛物线由条件得,即,解得,所以的取值范围为[例7]求抛物线上与点A(6,0)距离最近的点。解:设M(x,y)为抛物线上一点,则 与同时取到极值∴令由得 当或时,∴∴是f(x)的最小值点,此时x=2,y=2,即抛物线上与点A(6,0)距离最近的点是(2,2)[例8]用长为90cm,宽为48cm的长方形铁皮做一个无盖的容器,先在四角分别截去一个小正方形,然后把四边翻转90°角,再焊接而成(如图),问该容器的高为多少时,容器的容积最大?最大容积是多少?用心爱心专心解:设容器的高为x,容器的体积为V,则() 令得 令得或;令得∴函数在(0,10)上递增,在(10,24)上递减∴当x=10时,V有极大值V(10)=19600又V(0)=0,V(24)=0,所以当x=10时,V有最大值V(10)=19600cm3[例9]统计表明,某种型号的汽车在匀速行驶中每小时的耗油量(升)关于行驶速度x(千米/小时)的函数解析式可以表示为:()已知甲、乙两地相距100千米。(1)当汽车以40千米/小时的速度匀速行驶时,从甲地到乙地要耗油多少升?(2)当汽车以多大的速度匀速行驶时,从甲地到乙地耗油最少?最少为多少升?析:本小题主要考查函数、导数及其应用等基本知识,考查运用数学知识分析和解决实际问题的能力。解:(1)当x=40千米/小时,汽车从甲地到乙地行驶了小时要耗油(升)答:当汽车以40千米/小时的速度匀速行驶时,从甲地到乙地耗油17.5升。(2)当速度为x千米/小时时,汽车从甲地到乙地行驶了小时,设耗油量为升,依题意得 令,得当时,,是减函数;当时,,是增函数∴当时,取到极小值h(80)=11.25因为h(x)在上只有一个极值,所以它是最小值答:当汽车以80千米/小时的速度匀速行驶时,从甲地到乙地耗油最少,最少为11.25升。[例10]已知函数在与x=1时都取得极值。用心爱心专心(1)求的值与函数的单调区间(2)若对时,不等式恒成立,求的取值范围。解:(1) ∴由,得 ∴当x变化时,的变化情况如下表:()()1(1,)+0-0+↑极大值↓极小值↑∴函数的递增区间是和(1,);递减区间是()(2) 又 ∴为最大值要使在恒成立,只需,解得或[例11]请您设计一个帐蓬:它下部的形状是高为1m正六棱柱,上部的形状是侧棱长为3m的正六棱锥(如下图所示)。试问当帐蓬的顶点O到底面中心O1的距离为多少时,帐蓬的体积最大?解:设OO1为xm,则由题设可得正六棱锥底面边长为:(单位:m)故底面正六边形的面积为:(单位:)用心爱心专心帐篷的体积为:(单位:)求导得,令,解得(不合题意,舍去)当时,为增函数当时,,为减函数∴当时,最大答:当OO1为2m时,帐篷的体积最大,最大体积为【模拟试题】(答题时间:75分钟)1.设在附近有定义,是的最大值,则()A.在附近的左侧,右侧B.在附近的左侧,右侧C.在附近的左侧,右侧D.在附近的左侧,右侧2.下列说法正确的是()A.函数的极大值就是函数的最大值B.函数的极小值就是函数的最小值C.函数的最值一定是极值D.在闭区间上的连续函数一定存在最值3.设,则y在区间[-1,0]上的最小值是()A.0B.C.D.-24.函数在[0,1]上的最大值为()A.B.C.D.5.函数在闭区间[]的最大值、最小值分别是()A.1,-1B.3,-17C...

1、当您付费下载文档后,您只拥有了使用权限,并不意味着购买了版权,文档只能用于自身使用,不得用于其他商业用途(如 [转卖]进行直接盈利或[编辑后售卖]进行间接盈利)。
2、本站所有内容均由合作方或网友上传,本站不对文档的完整性、权威性及其观点立场正确性做任何保证或承诺!文档内容仅供研究参考,付费前请自行鉴别。
3、如文档内容存在违规,或者侵犯商业秘密、侵犯著作权等,请点击“违规举报”。

碎片内容

高二数学专题复习一:导数与最值、导数应用(文)人教实验A版知识精讲

您可能关注的文档

确认删除?
VIP
微信客服
  • 扫码咨询
会员Q群
  • 会员专属群点击这里加入QQ群
客服邮箱
回到顶部