电脑桌面
添加小米粒文库到电脑桌面
安装后可以在桌面快捷访问

高二数学含绝对值不等式 人教版VIP免费

高二数学含绝对值不等式 人教版_第1页
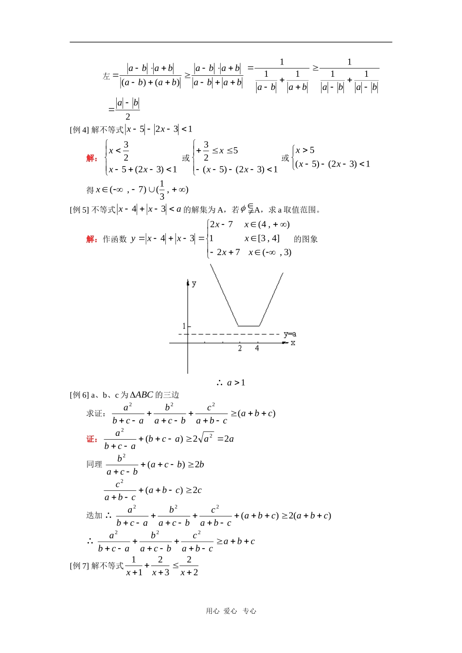
1/5
高二数学含绝对值不等式 人教版_第2页
2/5
高二数学含绝对值不等式 人教版_第3页
3/5
高二数学含绝对值不等式人教版【本讲教育信息】一.教学内容:含绝对值不等式二.重点、难点1.基本性质:baabbaba0a222aaa00aaaaaaxaxaa)0(axaxa)0(或ax2.重要不等式bababa【典型例题】[例1]a、b、c),0()0,(求证:cbcaba2222左222222222222)(cabacbcbcabacaba若0cb不等式显然成立若0cb∴左cbcbcbcbcbcbcb[例2]ba求证:babababa(1)若0ba显然成立(2)abbaabbaabbaabba2222222222220baababbaababba4))((2)(22222)(2)(222ababbaababba4)(22abababababab显然成立[例3]求证:2222baaba证:(1)ba时显然成立(2)ba用心爱心专心左babababababababa)()(babababa1111112ba[例4]解不等式1325xx解:1)32(523xxx或1)32()5(523xxx或1)32()5(5xxx得),31()7,(x[例5]不等式axx34的解集为A,若A,求a取值范围。解:作函数)3,(72]4,3[1),4(7234xxxxxxxy的图象∴1a[例6]a、b、c为ABC的三边求证:)(222cbacbacbcabacba证:aaacbacba22)(22同理bbcabcab2)(2ccbacbac2)(2迭加∴)(2)(222cbacbacbacbcabacba∴cbacbacbcabacba222[例7]解不等式223211xxx用心爱心专心解:0)3)(2)(1()34(2)23(2)65(222xxxxxxxxx即:0)3)(2)(1(432xxxxx0)3)(2)(1(xxx∴)1,2()3,(x[例8]二次函数)(xfy,开口向上,且)2()2(xfxf,解不等式)]852([log)]21([log221221xxfxxf解:)(xfy图象关于2x对称∴)2,(递减),2(递增212xx],41[∴2)21(log221xx],21[8522xx1)852(log221xx∴原不等式)852(log)21(log221221xxxx8522122xxxx41414141x【模拟试题】1.下列不等式①)252(2242yxyx),(Ryx②aa232)(Ra③),(322355Ryxyxyxyx,其中正确的有()个A.0B.1C.2D.32.已知ba0,1ba,下列各式中最大的一个为()A.22baB.ab2C.bD.22ba3.a、b、c、dR,122ba,122dc,则abcd的最小值为()A.21B.41C.41D.214.不等式02qpxx的解为21xx,则不等式06522xxqpxx的解为()A.(1,2)B.),6()1,(C.)6,2()1,1(D.),6()2,1()1,(5.不等式01)1()1(22xaxa的解为R,则a的取值范围为()A.]1,53(B.)1,53[C.)1,53(D.]1,53[6.不等式xxx81032的解为()A.]1374,5(B.)2,(用心爱心专心C.)1374,5[]2,(D.)1374,2[7.函数21)(xaxxf在区间),2(上为递增,求a取值范围()A.210aB.1a或21aC.21aD.2a8.函数)(xfy,R上递增,若0ba,则()A.)()()()(bfafbfafB.)()()()(bfafbfafC.)()()()(bfbfafafD.)()()()(bfbfafaf9.奇函数)(xfy,)(xgy,0)(xf的解为bxax2,0)(xg解为222bxax,则0)()(xgxf解为()A.222bxaxB.2axbxC.2222axbbxax或D.222axbbxax或10.一批救灾物资用26辆汽车从A市以V公里/小时的速度匀速直达灾区B地,A,B间公路长400公里,为了安全行车,车队中相邻两辆汽车不得小于2)20(V公里,那么物资全部运到灾区,最少需多少小时?(车长不计)用心爱心专心【试题答案】1.C2.D3.C4.D5.A6.C7.C8.A9.C10.解:26辆有25个车距∴时间速度个车距路程25∴1640025)26(4002VVVVt10252hkmVVV/801640010mint用心爱心专心

1、当您付费下载文档后,您只拥有了使用权限,并不意味着购买了版权,文档只能用于自身使用,不得用于其他商业用途(如 [转卖]进行直接盈利或[编辑后售卖]进行间接盈利)。
2、本站所有内容均由合作方或网友上传,本站不对文档的完整性、权威性及其观点立场正确性做任何保证或承诺!文档内容仅供研究参考,付费前请自行鉴别。
3、如文档内容存在违规,或者侵犯商业秘密、侵犯著作权等,请点击“违规举报”。

碎片内容

高二数学含绝对值不等式 人教版

您可能关注的文档

星河书苑+ 关注
实名认证
内容提供者

从事历史教学,热爱教育,高度负责。

确认删除?
VIP
微信客服
  • 扫码咨询
会员Q群
  • 会员专属群点击这里加入QQ群
客服邮箱
回到顶部