电脑桌面
添加小米粒文库到电脑桌面
安装后可以在桌面快捷访问

有理数的混合运算-(3)VIP免费

有理数的混合运算-(3)_第1页
1/1
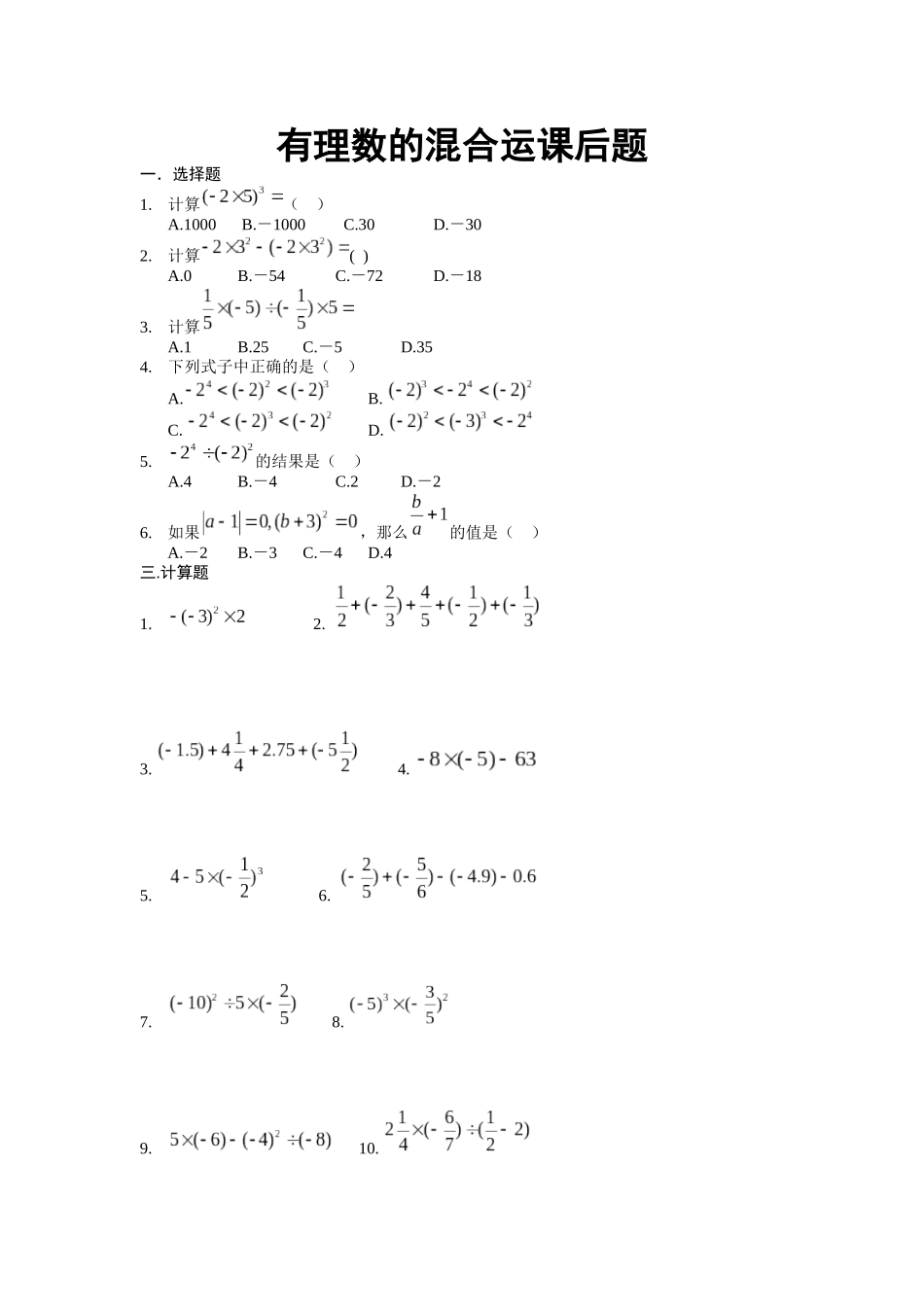
有理数的混合运课后题一.选择题1.计算()A.1000B.-1000C.30D.-302.计算()A.0B.-54C.-72D.-183.计算A.1B.25C.-5D.354.下列式子中正确的是()A.B.C.D.5.的结果是()A.4B.-4C.2D.-26.如果,那么的值是()A.-2B.-3C.-4D.4三.计算题1.2.3.4.5.6.7.8.9.10.

1、当您付费下载文档后,您只拥有了使用权限,并不意味着购买了版权,文档只能用于自身使用,不得用于其他商业用途(如 [转卖]进行直接盈利或[编辑后售卖]进行间接盈利)。
2、本站所有内容均由合作方或网友上传,本站不对文档的完整性、权威性及其观点立场正确性做任何保证或承诺!文档内容仅供研究参考,付费前请自行鉴别。
3、如文档内容存在违规,或者侵犯商业秘密、侵犯著作权等,请点击“违规举报”。

碎片内容

有理数的混合运算-(3)

您可能关注的文档

教育教学文库+ 关注
实名认证
内容提供者

本店有大量的教育教学资料,课件

相关文档

确认删除?
VIP
微信客服
  • 扫码咨询
会员Q群
  • 会员专属群点击这里加入QQ群
客服邮箱
回到顶部