电脑桌面
添加小米粒文库到电脑桌面
安装后可以在桌面快捷访问

错位相减法万能公式VIP免费

错位相减法万能公式_第1页
1/3
错位相减法万能公式_第2页
2/3
错位相减法万能公式_第3页
3/3
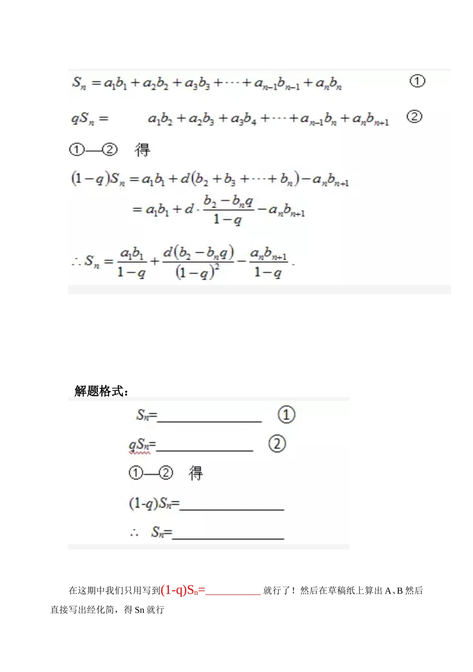
错位相减法万能公式骚年们,还在为数学考试中数列知识中做到错位相减法而头疼吗?现在为你展现错位相减法公式:(通常来说是Cn,下面出现的Sn其实就是Cn是不是一看到就觉得很简单呢?是不是想问了A=?,B=?呢?我们都知道错位相减法起初的通向公式为Tn=an*bn的数列其中数列an=(an+b)数列bn=a1*qn我们将Tn化为Tn=(an+b)*qn然后我们的A、B便可以等于A=B=现在是不是有人会这样问:请问楼主考试可以直接用吗?答案是不行的!这下是不是有人要骂了:那你告诉我们有屁用!其实你们可以这样用:这是不是我们的常规套路呢?解题格式:在这期中我们只用写到(1-q)Sn=____________就行了!然后在草稿纸上算出A、B然后直接写出经化简,得Sn就行其中(1-q)Sn只用写到这步就行我们也可以使用待定系数法来求出Cn中的A、B我们只需手动算出C1、C2然后带入Cn直接求出A、B本人建议按照套路去写,然后在草稿纸上求出A、B就行,这样可以减省许多时间

1、当您付费下载文档后,您只拥有了使用权限,并不意味着购买了版权,文档只能用于自身使用,不得用于其他商业用途(如 [转卖]进行直接盈利或[编辑后售卖]进行间接盈利)。
2、本站所有内容均由合作方或网友上传,本站不对文档的完整性、权威性及其观点立场正确性做任何保证或承诺!文档内容仅供研究参考,付费前请自行鉴别。
3、如文档内容存在违规,或者侵犯商业秘密、侵犯著作权等,请点击“违规举报”。

碎片内容

错位相减法万能公式

您可能关注的文档

慧源书苑+ 关注
实名认证
内容提供者

热爱教育事业,爱好互联网行业

相关文档

确认删除?
VIP
微信客服
  • 扫码咨询
会员Q群
  • 会员专属群点击这里加入QQ群
客服邮箱
回到顶部