电脑桌面
添加小米粒文库到电脑桌面
安装后可以在桌面快捷访问

山东省济宁市嘉祥一中高三数学下学期第三模拟考试试卷(PDF)答案 山东省济宁市嘉祥一中高三数学下学期第三模拟考试试卷(PDF) 山东省济宁市嘉祥一中高三数学下学期第三模拟考试试卷(PDF)VIP免费

山东省济宁市嘉祥一中高三数学下学期第三模拟考试试卷(PDF)答案 山东省济宁市嘉祥一中高三数学下学期第三模拟考试试卷(PDF) 山东省济宁市嘉祥一中高三数学下学期第三模拟考试试卷(PDF)_第1页
1/4
山东省济宁市嘉祥一中高三数学下学期第三模拟考试试卷(PDF)答案 山东省济宁市嘉祥一中高三数学下学期第三模拟考试试卷(PDF) 山东省济宁市嘉祥一中高三数学下学期第三模拟考试试卷(PDF)_第2页
2/4
山东省济宁市嘉祥一中高三数学下学期第三模拟考试试卷(PDF)答案 山东省济宁市嘉祥一中高三数学下学期第三模拟考试试卷(PDF) 山东省济宁市嘉祥一中高三数学下学期第三模拟考试试卷(PDF)_第3页
3/4
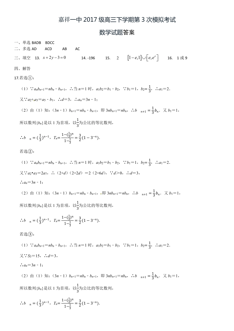
一、单选BADBBDCC二、多选ADACDABAC三、填空13.230xy14.-19615.21,1,eeee16.1或9四、解答17.若选①:(1)∵anbn+1=nbn﹣bn+1,∴当n=1时,a1b2=b1﹣b2,∵b1=1,b2���,∴a1=2.又∵a2+a3=a5﹣b1,∴d=3,∴an=3n﹣1;(2)由(1)知:(3n﹣1)bn+1=nbn﹣bn+1,即3nbn+1=nbn,∴b�ῠ������.又b1=1,所以数列{bn}是以1为首项,以��为公比的等比数列,∴b�������✸�,Tn��✸������✸�������✸�✸��.若选②:(1)∵anbn+1=nbn﹣bn+1,∴当n=1时,a1b2=b1﹣b2,∵b1=1,b2���,∴a1=2.又∵a2•a3=2a7,∴(2+d)(2+2d)=2(2+6d),∵d>0,∴d=3,∴an=3n﹣1;(2)由(1)知:(3n﹣1)bn+1=nbn﹣bn+1,即3nbn+1=nbn,∴b�ῠ������.又b1=1,所以数列{bn}是以1为首项,以��为公比的等比数列,∴b�������✸�,Tn��✸������✸�������✸�✸��.若选③:(1)∵anbn+1=nbn﹣bn+1,∴当n=1时,a1b2=b1﹣b2,∵b1=1,b2���,∴a1=2.又∵S3=15,∴d=3,∴an=3n﹣1;(2)由(1)知:(3n﹣1)bn+1=nbn﹣bn+1,即3nbn+1=nbn,∴b�ῠ������.又b1=1,所以数列{bn}是以1为首项,以��为公比的等比数列,∴b�������✸�,Tn��✸������✸�������✸�✸��.嘉祥一中2017级高三下学期第3次模拟考试数学试题答案18.19.20.(1)由题意,被感染人数服从二项分布:~(,)XBap,则()(1)XXaXaPXCpp,(0)Xa,X的数学期望EXap.(2)(i)第n天被感染人数为1(1)nap,第1n天被感染人数为2(1)nap,由题目中均值的定义可知,122(1)(1)(1)nnnnEapapapap则11nnEapE,且2Eap.{}nE∴是以ap为首项,1ap为公比的等比数列.(ii)令2()ln(1)3fppp,则1221()133(1)pfppp.()fp∴在1(0,)2上单调递增,在1(,1)2上单调递减.max1311()()lnln3ln21.10.70.30.12233fpf.则当10a,210(110)nnEpp.46100.1(1100.1)=16E.46100.5(1100.5)=6480E.66EE戴口罩很有必要.21。22.

1、当您付费下载文档后,您只拥有了使用权限,并不意味着购买了版权,文档只能用于自身使用,不得用于其他商业用途(如 [转卖]进行直接盈利或[编辑后售卖]进行间接盈利)。
2、本站所有内容均由合作方或网友上传,本站不对文档的完整性、权威性及其观点立场正确性做任何保证或承诺!文档内容仅供研究参考,付费前请自行鉴别。
3、如文档内容存在违规,或者侵犯商业秘密、侵犯著作权等,请点击“违规举报”。

碎片内容

山东省济宁市嘉祥一中高三数学下学期第三模拟考试试卷(PDF)答案 山东省济宁市嘉祥一中高三数学下学期第三模拟考试试卷(PDF) 山东省济宁市嘉祥一中高三数学下学期第三模拟考试试卷(PDF)

您可能关注的文档

雨丝书吧+ 关注
实名认证
内容提供者

乐于和他人分享知识,从事历史教学,热爱教育,高度负责。

相关文档

确认删除?
VIP
微信客服
  • 扫码咨询
会员Q群
  • 会员专属群点击这里加入QQ群
客服邮箱
回到顶部