电脑桌面
添加小米粒文库到电脑桌面
安装后可以在桌面快捷访问

高二数学复合函数的导数人教实验版(B)知识精讲VIP免费

高二数学复合函数的导数人教实验版(B)知识精讲_第1页
1/10
高二数学复合函数的导数人教实验版(B)知识精讲_第2页
2/10
高二数学复合函数的导数人教实验版(B)知识精讲_第3页
3/10
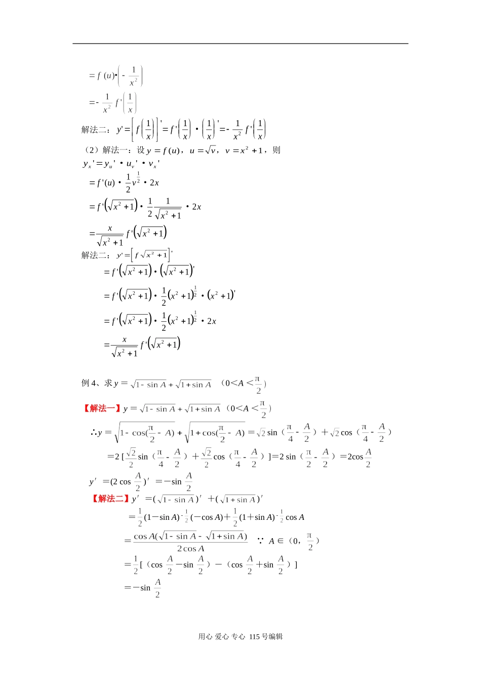
高二数学复合函数的导数人教实验版(B)【本讲教育信息】一.教学内容:复合函数的导数[主要内容]复合函数的导数、对数函数与指数函数的导数[学习目标]了解复合函数的概念,会分解复合函数或合成复合函数;理解复合函数的求导法则,并会求导,正确分解复合函数的复合过程,做到不漏,不重,熟练,正确。掌握对数函数,指数函数的求导法则。[考点分析]1、复合函数的概念对于函数yfx(),令ux(),若yfu()是中间变量u的函数,ux()是自变量x的函数,则称函数yfx()是自变量x的复合函数。2、复合函数的导数:首先要弄清复合函数的复合关系。它的求导法则是:复合函数对自变量的导数,等于已知函数对中间变量的导数乘以中间变量对自变量的导数,即·或注:复合函数求导的基本步骤:分解——求导——相乘——回代。3、复合函数的求导法则复合函数对自变量的导数,等于已知函数对中间变量的导数,乘以中间变量对自变量的导数。4、对数函数的导数(1)(2)5、指数函数的导数(1)(2)【典型例题】例1、指出下列函数的复合关系(1);(2)yexln23;(3);(4)yxxsin31。分析:由复合函数的定义可知,中间变量的选择应是基本函数的结构。解决这类问题的关键是正确分析函数的复合层次。一般是以最外层开始,由外及里,一层一层地分析,把复合函数分解成若干个常见的基本函数,逐步确定复合过程。解答:函数的复合关系分别是用心爱心专心115号编辑(1)yuuabxmn,;(2)yuuvvexln,,32;(3)yuvvxxu32322,,log;(4)yuuvvxx31,,sin。例2、求下列函数的导数(1)(2)(3)(4)(5)(6)(7)解:(1)(2)(3)(4)(5)(6)(7)例3、求下列函数的导数。(其中fx()是可导函数)(1)yfx1;(2)yfx21。分析:对于抽象函数的求导,一方面要从其形式上把握其结构特征,另一方面要充分运用复合关系的求导法则。先设出中间变量,再根据复合函数的导数运算法则进行求导运算。一般地,假设中间变量可以直接对所设变量求导,不需要再次假设,如果所设中间变量可直接求导,就不必再选中间变量。解:(1)解法一:设yfuux(),1,则yyuxux'''·用心爱心专心115号编辑解法二:yfxfxxxfx'''''111112·(2)解法一:设yfuuvvx(),,21,则yyuvxuvx''''··fuvxfxxxxxfx'()''····12211211211122222解法二:yfx''21fxxfxxxfxxxxxfx''''''222212222122211112111121211·····例4、求y=(0<A<【解法一】y=(0<A<∴y==sin()+cos()=2[sin()+cos()]=2sin()=2cosy′=(2cos)′=-sin【解法二】y′=()′+()′=(1-sinA)(-cosA)+(1+sinA)cosA= A∈(0,)=[(cos-sin)-(cos+sin)]=-sin用心爱心专心115号编辑【解法三】 0<A<y=+=(cos-sin)+(cos+sin)=2cosy′=-sin【点评】解法一和解法三都是先化简,但难易有别,繁简差异较大,恰当选择公式是关键。解法二是从和的导数求导数入手,后面的化简较繁。例5、求y=sin4x+cos4x的导数。【解法一】y=sin4x+cos4x=(sin2x+cos2x)2-2sin2xcos2x=1-sin22x=1-(1-cos4x)=+cos4xy′=-sin4x【解法二】y′=(sin4x)′+(cos4x)′=4sin3x(sinx)′+4cos3x(cosx)′=4sin3xcosx+4cos3x(-sinx)=4sinxcosx(sin2x-cos2x)=-2sin2xcos2x=-sin4x【点评】解法一是先化简变形,简化求导数运算,要注意变形准确。解法二是利用复合函数求导数,应注意不漏步。例6、曲线在(0,1)处的切线与的距离为,求的方程。解:∴曲线在(0,1)处的切线的斜率∴切线方程为设的方程为∴∴或6当时,为:当时,为:【模拟试题】一、选择题(本大题共6小题,每小题5分,共30分)用心爱心专心115号编辑1.函数的导数是()A.B.C.D.2.已知,则等于()A.B.2C.D.03.函数的导数是()A.B.C.D.4.在处的切线方...

1、当您付费下载文档后,您只拥有了使用权限,并不意味着购买了版权,文档只能用于自身使用,不得用于其他商业用途(如 [转卖]进行直接盈利或[编辑后售卖]进行间接盈利)。
2、本站所有内容均由合作方或网友上传,本站不对文档的完整性、权威性及其观点立场正确性做任何保证或承诺!文档内容仅供研究参考,付费前请自行鉴别。
3、如文档内容存在违规,或者侵犯商业秘密、侵犯著作权等,请点击“违规举报”。

碎片内容

高二数学复合函数的导数人教实验版(B)知识精讲

您可能关注的文档

状元书店+ 关注
实名认证
内容提供者

热爱教学事业,对互联网知识分享很感兴趣

相关文档

确认删除?
VIP
微信客服
  • 扫码咨询
会员Q群
  • 会员专属群点击这里加入QQ群
客服邮箱
回到顶部