电脑桌面
添加小米粒文库到电脑桌面
安装后可以在桌面快捷访问

高中数学 第三章 三角恒等变形达标测试卷(含解析)北师大版必修4-北师大版高二必修4数学试题VIP免费

高中数学 第三章 三角恒等变形达标测试卷(含解析)北师大版必修4-北师大版高二必修4数学试题_第1页
1/10
高中数学 第三章 三角恒等变形达标测试卷(含解析)北师大版必修4-北师大版高二必修4数学试题_第2页
2/10
高中数学 第三章 三角恒等变形达标测试卷(含解析)北师大版必修4-北师大版高二必修4数学试题_第3页
3/10
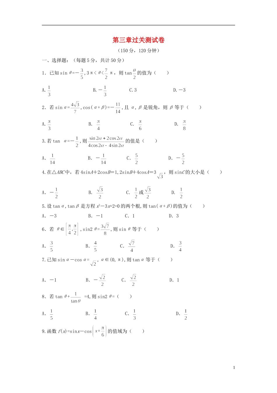
第三章过关测试卷(150分,120分钟)一、选择题:(每题5分,共计50分)1.已知sinθ=-,3π<θ<π,则tan的值为()A.B.-C.3D.-32.若sinα=,cos(α+β)=-,且α,β是锐角,则β等于()A.B.C.D.3.若tanα=-,则的值是()A.B.-C.D.-4.在△ABC中,若4sinA+2cosB=1,2sinB+4cosA=3,则sinC的大小是()A.-B.C.或D.5.设tanα,tanβ是方程x2-3x+2=0的两个根,则tan(α+β)的值为()A.-3B.-1C.1D.36.若θ∈,sin2θ=,则sinθ等于()A.B.C.D.7.已知sinα-cosα=,α∈(0,π),则tanα等于()A.-1B.-C.D.18.若tanθ+=4,则sin2θ=()A.B.C.D.9.函数f(x)=sinx-cos的值域为()1A.[-2,2]B.C.[-1,1]D.10.设△ABC的三个内角为A,B,C,向量m=(sinA,sinB),n=(cosB,cosA),若m·n=1+cos(A+B),则C等于()A.B.C.D.二、填空题:(每题5分,共计25分)11.在△ABC中,cos,则cos2A=_________.12.cos2-cos2的取值范围是_________.13.已知函数f(tanx)=sin2x,x∈,则f=________.14.定义一种运算ab=令f(x)=(cos2x+sinx),且x∈,则函数f的最大值是_________.15.〈山西四校联考〉已知函数f(x)=sin2ωx+sinωx·cosωx,x∈R,又f(α)=-,f(β)=,若|α-β|的最小值为π,则正数ω=__________.三、解答题:(共计75分)16.(本小题满分12分)求的值.17.(本小题满分12分)2已知0<α<,β为f(x)=cos的最小正周期,a=(cosα,2),b=,且a·b=m.求的值.18.(本小题满分12分)已知A,B,C为△ABC的三个内角,a=(sinB+cosB,cosC),b=(sinC,sinB-cosB).(1)若a·b=0,求角A;(2)若a·b=-,求tan2A.19.(本小题满分13分)已知向量m=(1,cosωx),n=(sinωx,)(ω>0),函数f(x)=m·n,且f(x)图像上一个最高点为P,离P最近的一个最低点的坐标为.(1)求函数f(x)的解析式;3(2)设a为常数,判断方程f(x)=a在区间上解的个数.20.(本小题满分13分)将一块圆心角为120°,半径为200cm的扇形铁片截成一块矩形,如图1,有两种截法:让矩形一边在扇形的一条半径OA上,或让矩形一边与弦AB平行.请问:哪种截法能得到最大面积的矩形?并求出最大面积.图121.(本小题满分13分)已知函数f(x)=Asin2(ωx+)(A>0,ω>0,0<<),且f(x)的最大值为2,其图像相邻两条对称轴间的距离为2,并过点(1,2).(1)求;4(2)计算:f(1)+f(2)+…+f(2012)+f(2013)+f(2014).参考答案及点拨一、1.D点拨:易知cosθ=-,利用tan=可求.2.A点拨: α,β都是锐角,∴0<α+β<π,∴sin(α+β)=.易得cosα=,利用cosβ=cos[(α+β)-α]=cos(α+β)cosα+sin(α+β)sinα求β.3.A4.D点拨:由题设条件得:(4sinA+2cosB)2=1,(2sinB+4cosA)2=27,∴20+16sinAcosB+16sinBcosA=28.∴sinAcosB+cosAsinB=.即sin(A+B)=,∴sinC=sin[π-(A+B)]=sin(A+B)=.5.A点拨:tanα+tanβ=3,tanαtanβ=2tan(α+β)==-3.6.D点拨:因为θ∈.所以2θ∈,cos2θ<0,所以cos2θ=-=-.由cos2θ=1-2sin2θ=-,得sin2θ=,sinθ=,选D.7.A点拨:方法一: sinα-cosα=,∴sin=,∴sin=1. α∈(0,π),∴α=,∴tanα=-1,故选A.方法二: sinα-cosα=,∴(sinα-cosα)2=2,∴sin2α=-1.5 α∈(0,π),∴2α∈(0,2π),∴2α=,α=.∴tanα=-1,故选A.8.D点拨:本题考查三角恒等变形式以及转化与化归的数学思想.因为tanθ+=+==4,所以sin2θ=.9.B点拨:f(x)=sinx-cos=sinx-cosx+sinx=sin, sin∈[-1,1],∴f(x)的值域为.10.C点拨: m·n=sinAcosB+cosAsinB=sin(A+B)=1+cos(A+B),∴sin(A+B)-cos(A+B)=1,∴sinC+cosC=1,即2sin=1.∴sin=,∴=,∴C=.二、11.点拨:在△ABC中,cos=>0,∴sin==.∴cos2A=sin=sin=2sincos=2××=.12.[-1,1]点拨:cos2-cos2==+sin2x-=sin2x, x∈R,∴sin2x∈[-1,1].13.点拨: f(tanx)=sin2x=,即f(x)=,6∴f==.14.点拨:令g(x)=cos2x+sinx,则g(x)=1-sin2x+sinx=-+≤,∴由运算定义可知,f(x)=g(x)=-+.∴当sinx=,即x=时,该函数取得最大值.由图像变换可知,所求函数f的最大值与函数f(x)在区间上的最大值相同.15.点拨:f(x...

1、当您付费下载文档后,您只拥有了使用权限,并不意味着购买了版权,文档只能用于自身使用,不得用于其他商业用途(如 [转卖]进行直接盈利或[编辑后售卖]进行间接盈利)。
2、本站所有内容均由合作方或网友上传,本站不对文档的完整性、权威性及其观点立场正确性做任何保证或承诺!文档内容仅供研究参考,付费前请自行鉴别。
3、如文档内容存在违规,或者侵犯商业秘密、侵犯著作权等,请点击“违规举报”。

碎片内容

高中数学 第三章 三角恒等变形达标测试卷(含解析)北师大版必修4-北师大版高二必修4数学试题

您可能关注的文档

状元书店+ 关注
实名认证
内容提供者

热爱教学事业,对互联网知识分享很感兴趣

确认删除?
VIP
微信客服
  • 扫码咨询
会员Q群
  • 会员专属群点击这里加入QQ群
客服邮箱
回到顶部